Официальное опубликование правовых актов
ОФИЦИАЛЬНОЕ ОПУБЛИКОВАНИЕ
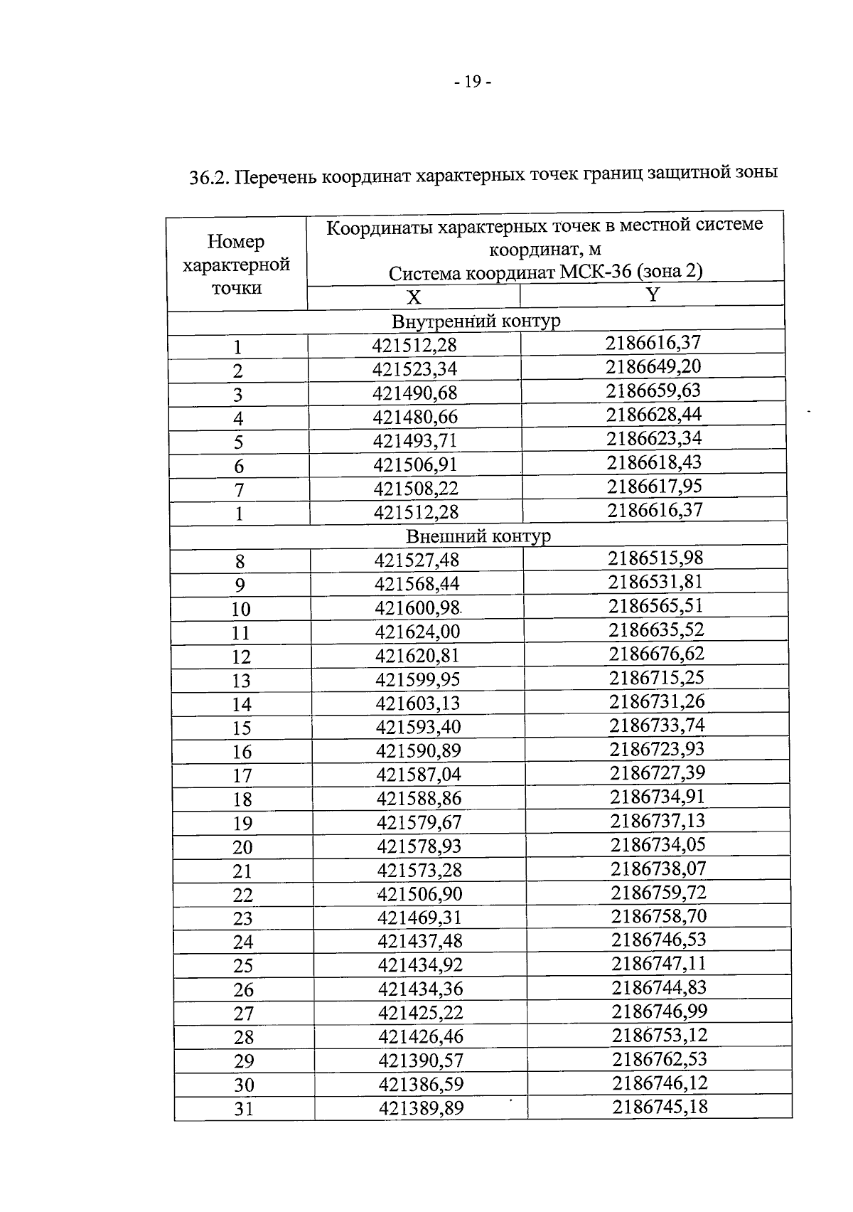
Приказ управления по охране объектов культурного наследия Воронежской области от 07.10.2025 № 71-01-05/168
"О внесении изменения в приказ управления по охране объектов культурного наследия Воронежской области от 03.09.2019 № 71-01-07/212"
(Зарегистрирован 06.11.2025 № 1239)
Номер опубликования: 3601202511070004
Дата опубликования: 07.11.2025
Страница №19 из 24:
Увеличить