Официальное опубликование правовых актов
ОФИЦИАЛЬНОЕ ОПУБЛИКОВАНИЕ
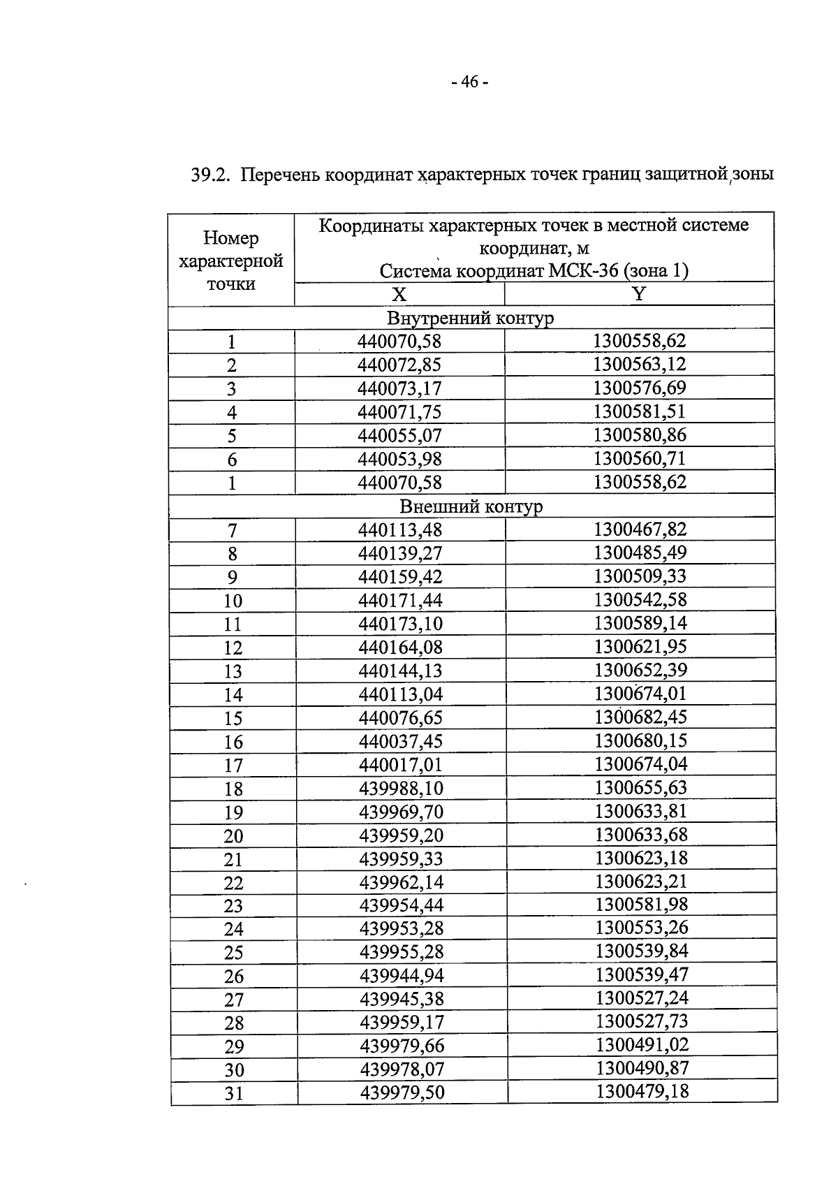
Приказ управления по охране объектов культурного наследия Воронежской области от 07.10.2025 № 71-01-05/169
"О внесении изменения в приказ управления по охране объектов культурного наследия Воронежской области от 16.04.2019 № 71-01-07/104"
(Зарегистрирован 06.11.2025 № 1240)
Номер опубликования: 3601202511070002
Дата опубликования: 07.11.2025
Страница №46 из 47:
Увеличить