Официальное опубликование правовых актов
ОФИЦИАЛЬНОЕ ОПУБЛИКОВАНИЕ
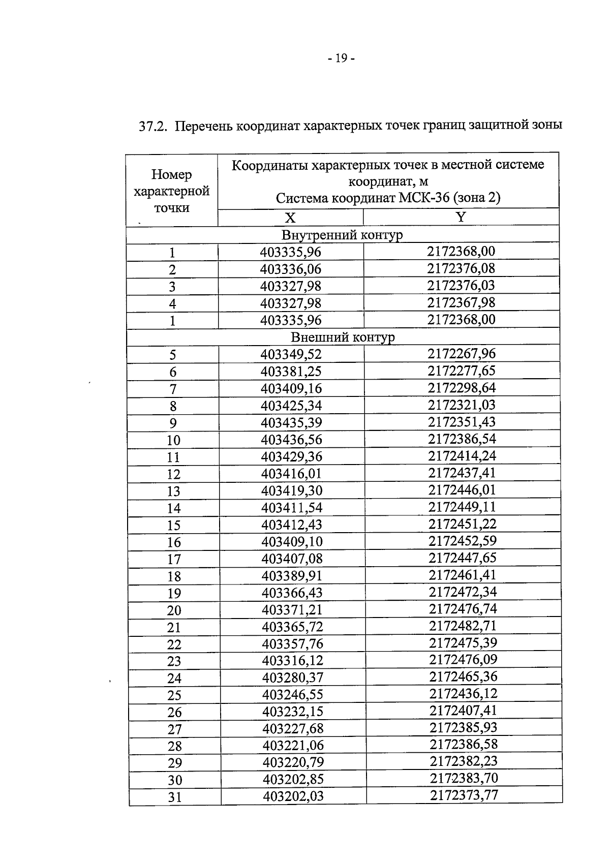
Приказ управления по охране объектов культурного наследия Воронежской области от 14.10.2025 № 71-01-05/177
"О внесении изменений в приказ управления по охране объектов культурного наследия Воронежской области от 13.08.2019 № 71-01-07/201"
(Зарегистрирован 06.11.2025 № 1248)
Номер опубликования: 3601202511070001
Дата опубликования: 07.11.2025
Страница №19 из 34:
Увеличить