Официальное опубликование правовых актов
ОФИЦИАЛЬНОЕ ОПУБЛИКОВАНИЕ
Приказ министерства архитектуры и градостроительства Воронежской области от 06.10.2025 № 45-01-04/521
"О внесении изменений в правила землепользования и застройки Отрадненского сельского поселения Новоусманского муниципального района Воронежской области"
(Зарегистрирован 15.10.2025 № 1170)
Номер опубликования: 3601202510160002
Дата опубликования: 16.10.2025
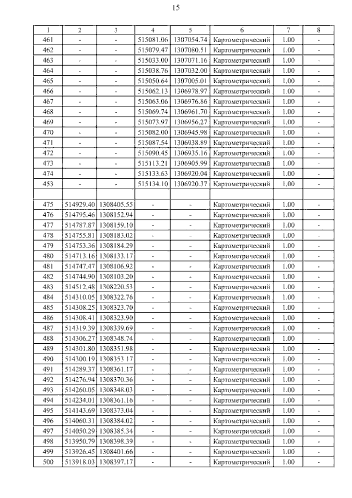
Страница №22 из 158:
Увеличить