Официальное опубликование правовых актов
ОФИЦИАЛЬНОЕ ОПУБЛИКОВАНИЕ
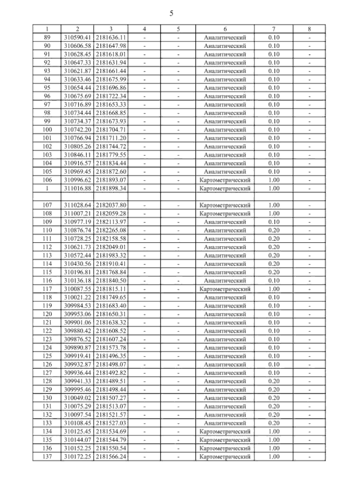
Приказ министерства архитектуры и градостроительства Воронежской области от 17.09.2025 № 45-01-04/499
"О внесении изменений в правила землепользования и застройки Радченского сельского поселения Богучарского муниципального района Воронежской области"
(Зарегистрирован 08.10.2025 № 1140)
Номер опубликования: 3601202510100001
Дата опубликования: 10.10.2025
Страница №55 из 108:
Увеличить