Официальное опубликование правовых актов
ОФИЦИАЛЬНОЕ ОПУБЛИКОВАНИЕ
Приказ министерства архитектуры и градостроительства Воронежской области от 12.09.2025 № 45-01-04/488
"О внесении изменений в правила землепользования и застройки Рождественского сельского поселения Поворинского муниципального района Воронежской области"
(Зарегистрирован 06.10.2025 № 1101)
Номер опубликования: 3601202510070017
Дата опубликования: 07.10.2025
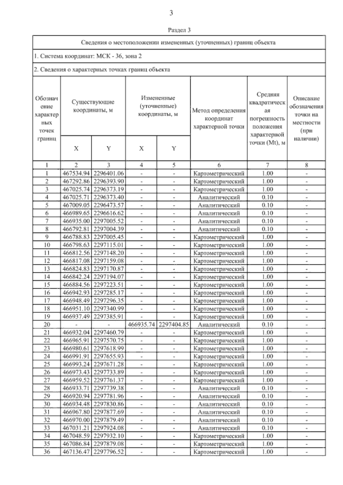
Страница №10 из 56:
Увеличить