Официальное опубликование правовых актов
ОФИЦИАЛЬНОЕ ОПУБЛИКОВАНИЕ
Приказ министерства архитектуры и градостроительства Воронежской области от 11.09.2025 № 45-01-04/485
"О внесении изменений в правила землепользования и застройки Центральского сельского поселения Новохопёрского муниципального района Воронежской области"
(Зарегистрирован 01.10.2025 № 1091)
Номер опубликования: 3601202510020016
Дата опубликования: 02.10.2025
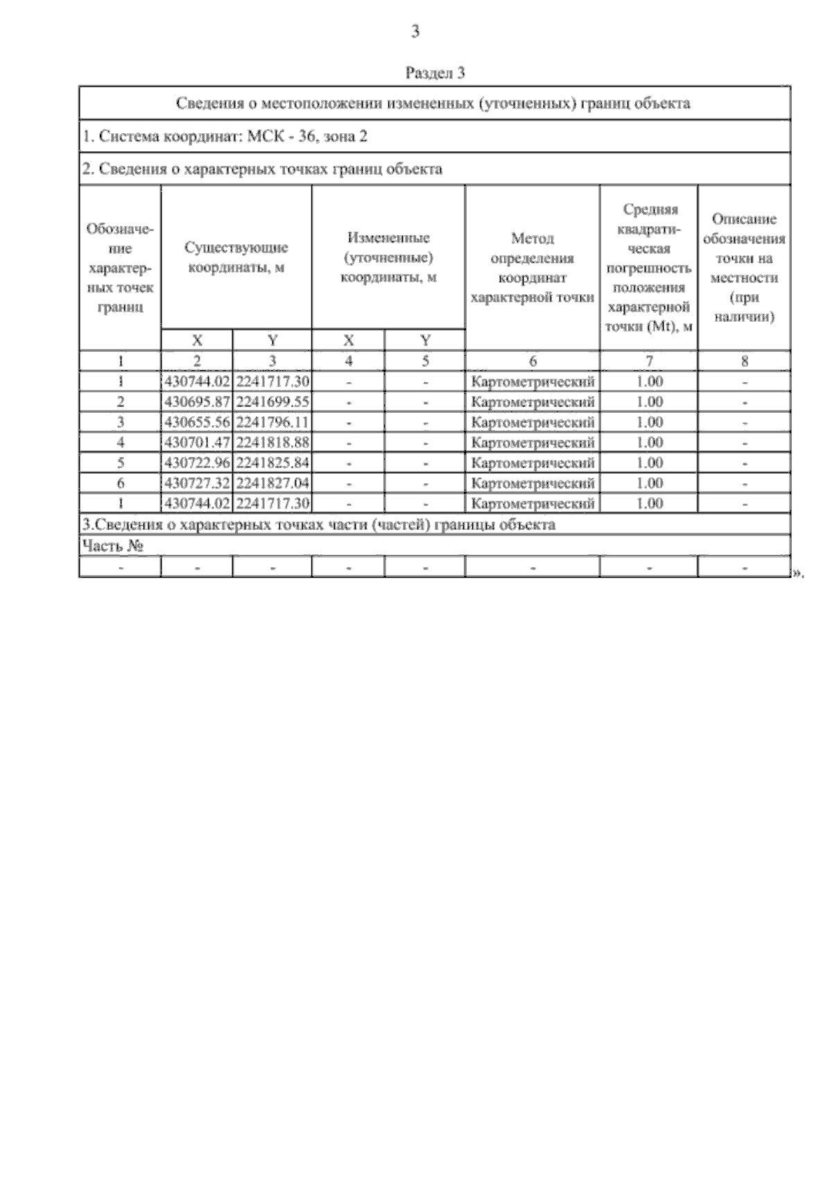
Страница №33 из 39:
Увеличить