Официальное опубликование правовых актов
ОФИЦИАЛЬНОЕ ОПУБЛИКОВАНИЕ
Приказ министерства природных ресурсов и экологии Воронежской области от 11.09.2025 № 393
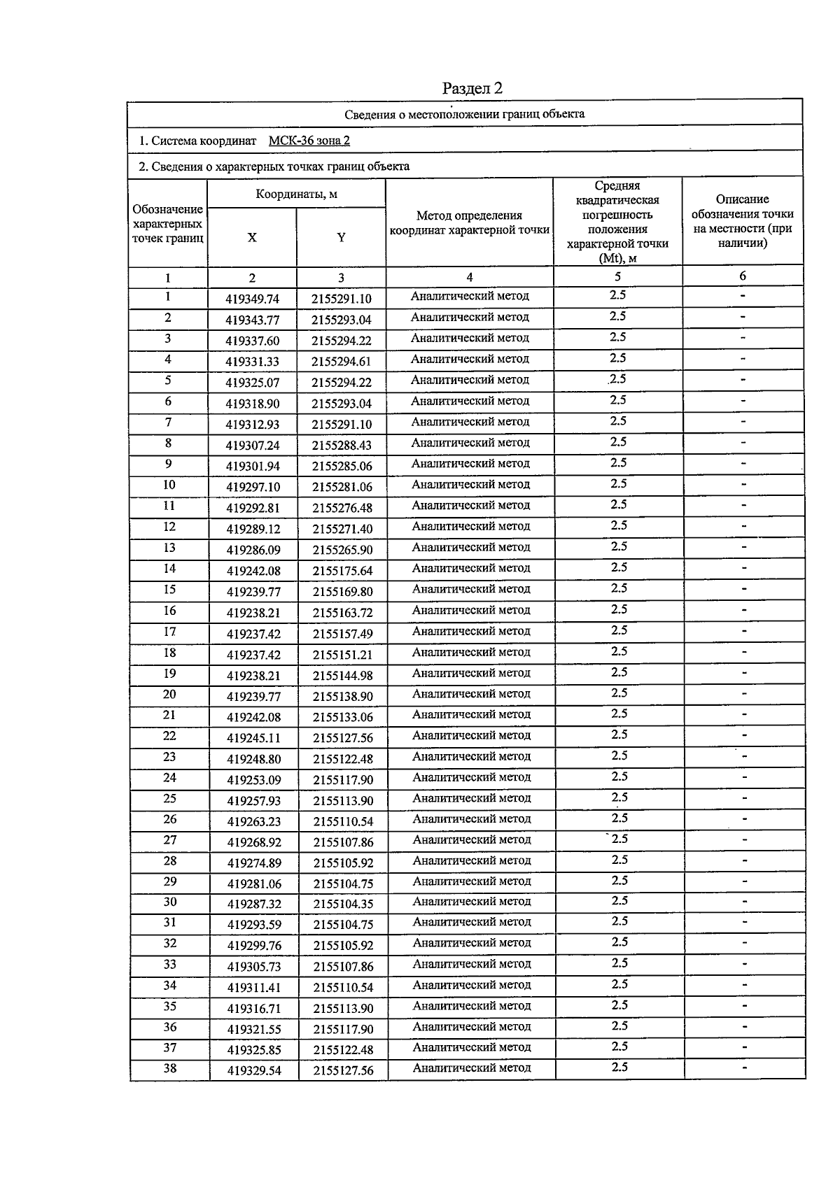
"Об установлении зон санитарной охраны водозабора в составе двух существующих скважин №№ 25/11, 26/11 (рабочая и резервная) для питьевого, хозяйственно-бытового водоснабжения ООО "Заречное"
(Зарегистрирован 26.09.2025 № 1046)
Номер опубликования: 3601202510020008
Дата опубликования: 02.10.2025
Страница №13 из 19:
Увеличить