Официальное опубликование правовых актов
ОФИЦИАЛЬНОЕ ОПУБЛИКОВАНИЕ
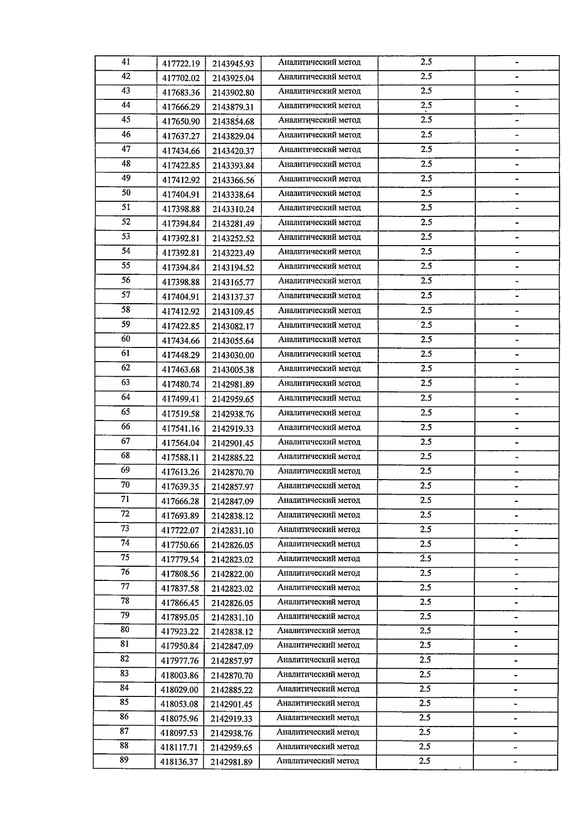
Приказ министерства природных ресурсов и экологии Воронежской области от 11.09.2025 № 392
"Об установлении зон санитарной охраны водозабора в составе двух существующих скважин ООО "Заречное" № 001, № 002"
(Зарегистрирован 26.09.2025 № 1045)
Номер опубликования: 3601202510020001
Дата опубликования: 02.10.2025
Страница №19 из 21:
Увеличить