Официальное опубликование правовых актов
ОФИЦИАЛЬНОЕ ОПУБЛИКОВАНИЕ
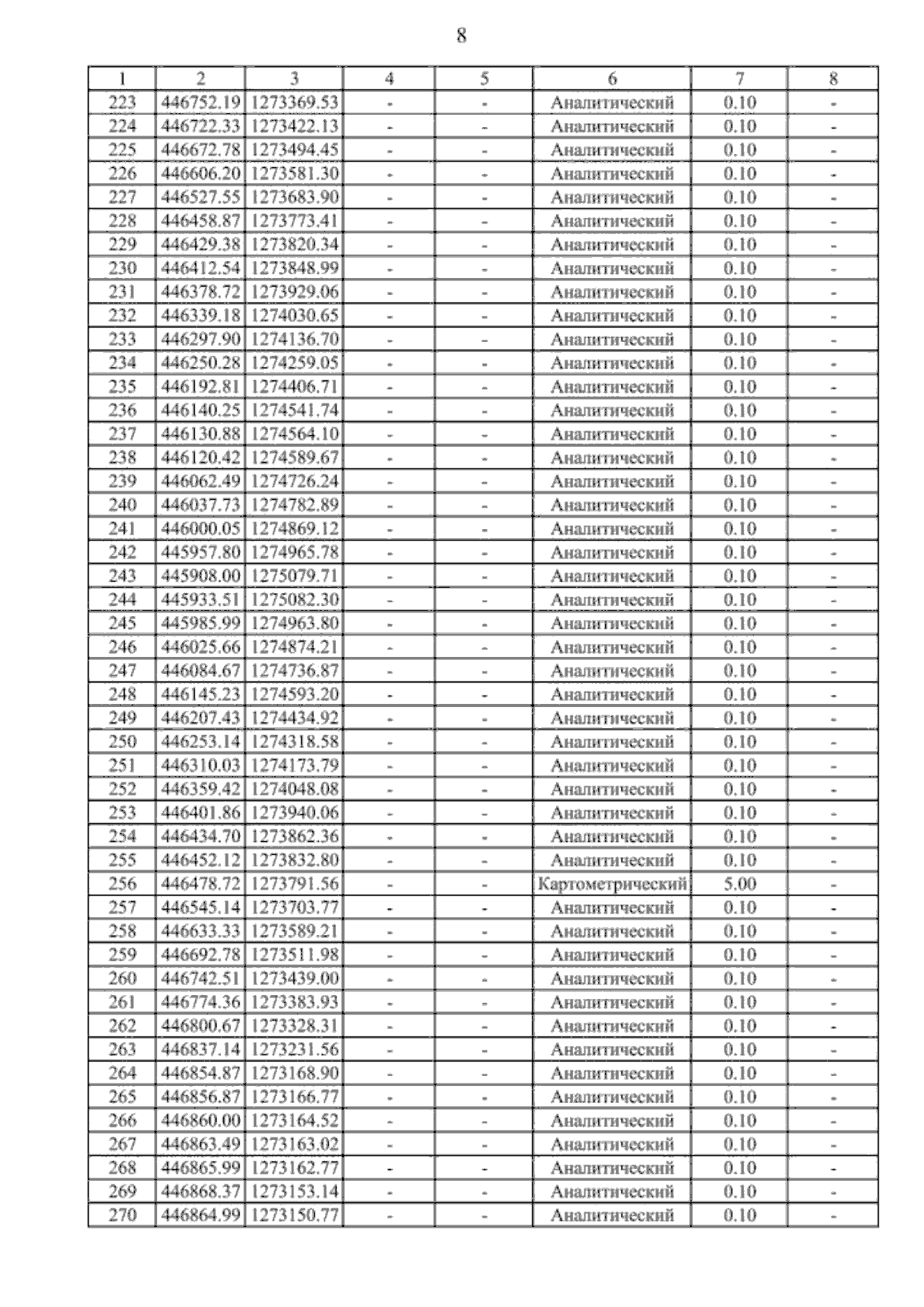
Приказ министерства архитектуры и градостроительства Воронежской области от 09.09.2025 № 45-01-04/472
"О внесении изменений в правила землепользования и застройки Скорицкого сельского поселения Репьёвского муниципального района Воронежской области"
(Зарегистрирован 29.09.2025 № 1078)
Номер опубликования: 3601202510010010
Дата опубликования: 01.10.2025
Страница №32 из 36:
Увеличить