Официальное опубликование правовых актов
ОФИЦИАЛЬНОЕ ОПУБЛИКОВАНИЕ
Приказ министерства архитектуры и градостроительства Воронежской области от 28.08.2025 № 45-01-04/443
"О внесении изменений в правила землепользования и застройки Яменского сельского поселения Рамонского муниципального района Воронежской области"
(Зарегистрирован 22.09.2025 № 1017)
Номер опубликования: 3601202509220013
Дата опубликования: 22.09.2025
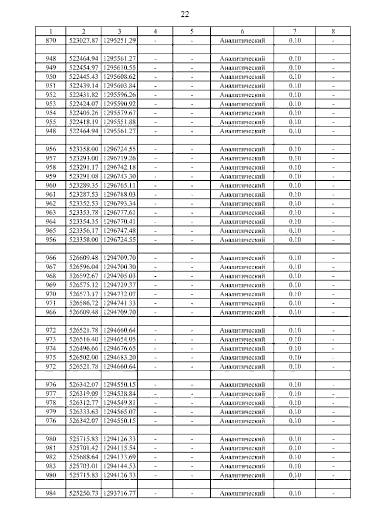
Страница №120 из 156:
Увеличить