Официальное опубликование правовых актов
ОФИЦИАЛЬНОЕ ОПУБЛИКОВАНИЕ
Приказ министерства архитектуры и градостроительства Воронежской области от 05.09.2025 № 45-01-04/450
"О внесении изменений в правила землепользования и застройки Красного сельского поселения Павловского муниципального района Воронежской области"
(Зарегистрирован 22.09.2025 № 1020)
Номер опубликования: 3601202509220012
Дата опубликования: 22.09.2025
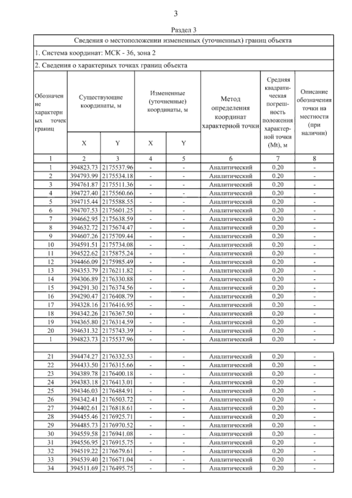
Страница №18 из 20:
Увеличить