Официальное опубликование правовых актов
ОФИЦИАЛЬНОЕ ОПУБЛИКОВАНИЕ
Приказ министерства архитектуры и градостроительства Воронежской области от 05.09.2025 № 45-01-04/449
"О внесении изменений в правила землепользования и застройки Никольского сельского поселения Бобровского муниципального района Воронежской области"
(Зарегистрирован 22.09.2025 № 1019)
Номер опубликования: 3601202509220011
Дата опубликования: 22.09.2025
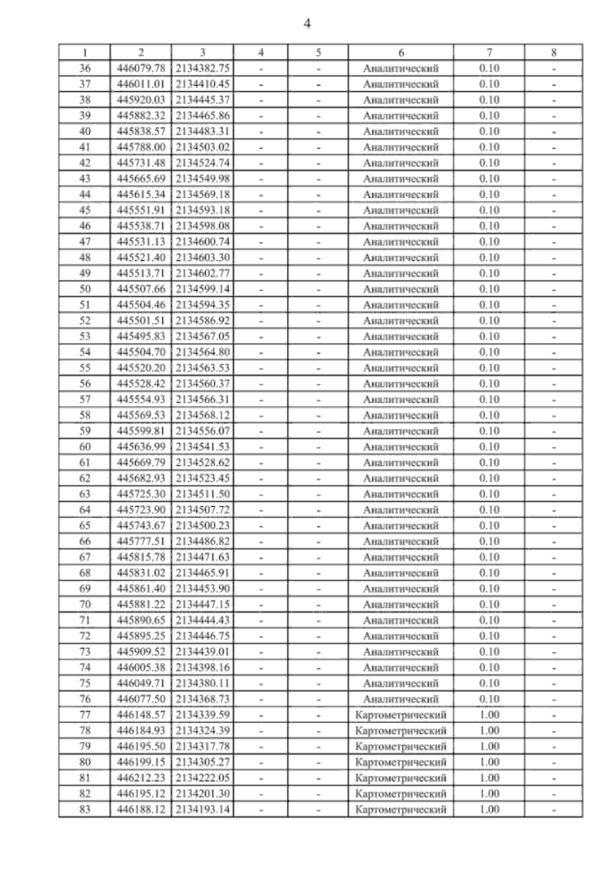
Страница №44 из 75:
Увеличить