Официальное опубликование правовых актов
ОФИЦИАЛЬНОЕ ОПУБЛИКОВАНИЕ
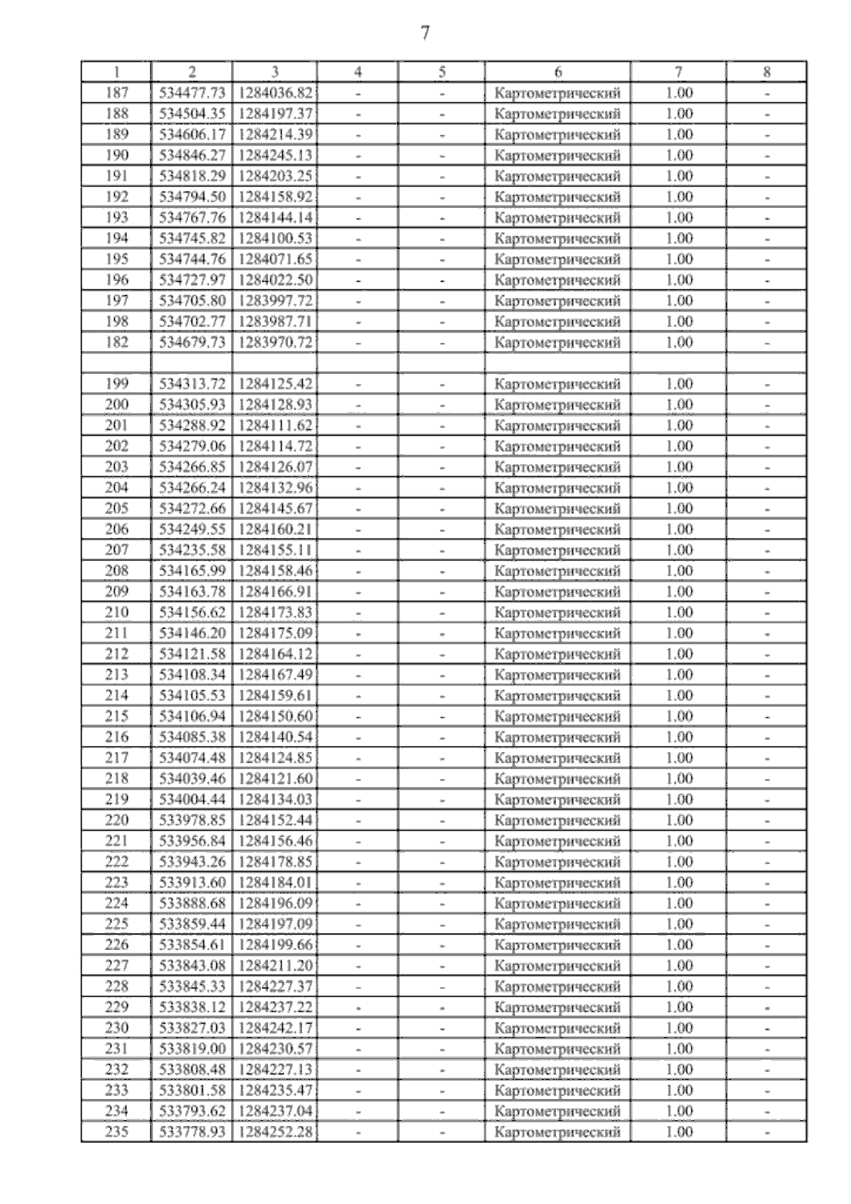
Приказ министерства архитектуры и градостроительства Воронежской области от 05.09.2025 № 45-01-04/453
"О внесении изменений в правила землепользования и застройки Медвеженского сельского поселения Семилукского муниципального района Воронежской области"
(Зарегистрирован 22.09.2025 № 1023)
Номер опубликования: 3601202509220008
Дата опубликования: 22.09.2025
Страница №15 из 34:
Увеличить