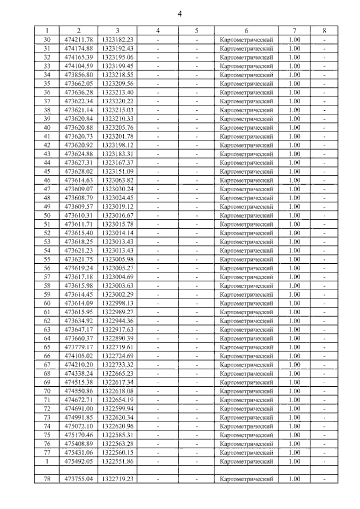
Приказ министерства архитектуры и градостроительства Воронежской области от 05.09.2025 № 45-01-04/452
"О внесении изменений в правила землепользования и застройки Данковского сельского поселения Каширского муниципального района Воронежской области"
(Зарегистрирован 22.09.2025 № 1022)
"О внесении изменений в правила землепользования и застройки Данковского сельского поселения Каширского муниципального района Воронежской области"
(Зарегистрирован 22.09.2025 № 1022)
Номер опубликования: 3601202509220007
Дата опубликования:
22.09.2025
