Официальное опубликование правовых актов
ОФИЦИАЛЬНОЕ ОПУБЛИКОВАНИЕ
Приказ министерства природных ресурсов и экологии Воронежской области от 20.08.2025 № 365
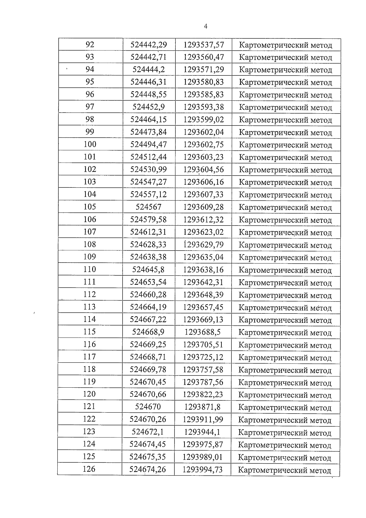
"Об утверждении описания местоположения береговых линий (границ водного объекта) ручья урочища "Колодец" на территории Рамонского муниципального района Воронежской области"
(Зарегистрирован 02.09.2025 № 947)
Номер опубликования: 3601202509100001
Дата опубликования: 10.09.2025
Страница №6 из 32:
Увеличить