Официальное опубликование правовых актов
ОФИЦИАЛЬНОЕ ОПУБЛИКОВАНИЕ
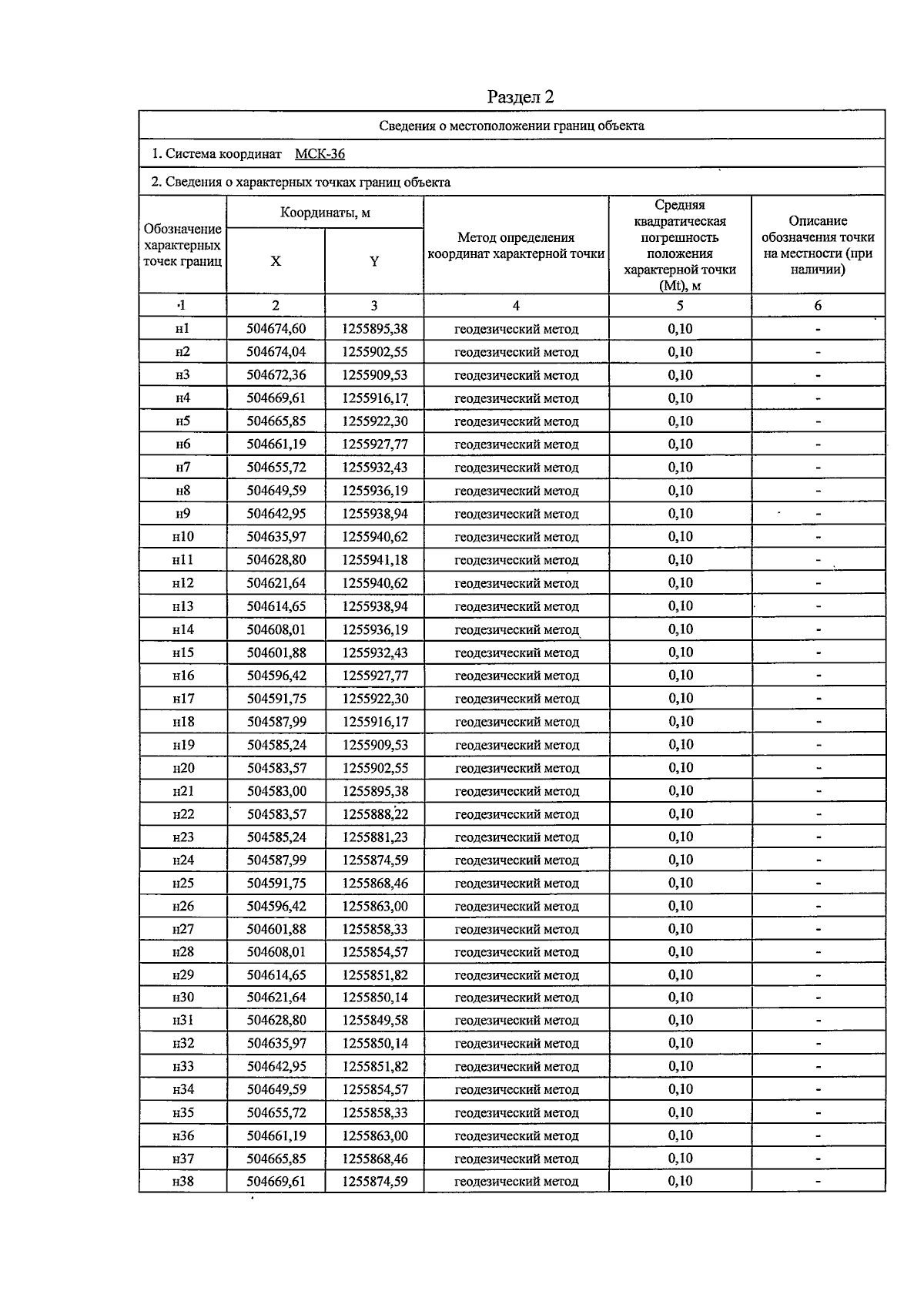
Приказ министерства природных ресурсов и экологии Воронежской области от 25.08.2025 № 368
"Об установлении зон санитарной охраны водозабора в составе одной существующей скважины № 7078 для питьевого, хозяйственно-бытового водоснабжения Общества с ограниченной ответственностью Сельскохозяйственное предприятие "Резон"
(Зарегистрирован 03.09.2025 № 989)
Номер опубликования: 3601202509050014
Дата опубликования: 05.09.2025
Страница №12 из 18:
Увеличить