Официальное опубликование правовых актов
ОФИЦИАЛЬНОЕ ОПУБЛИКОВАНИЕ
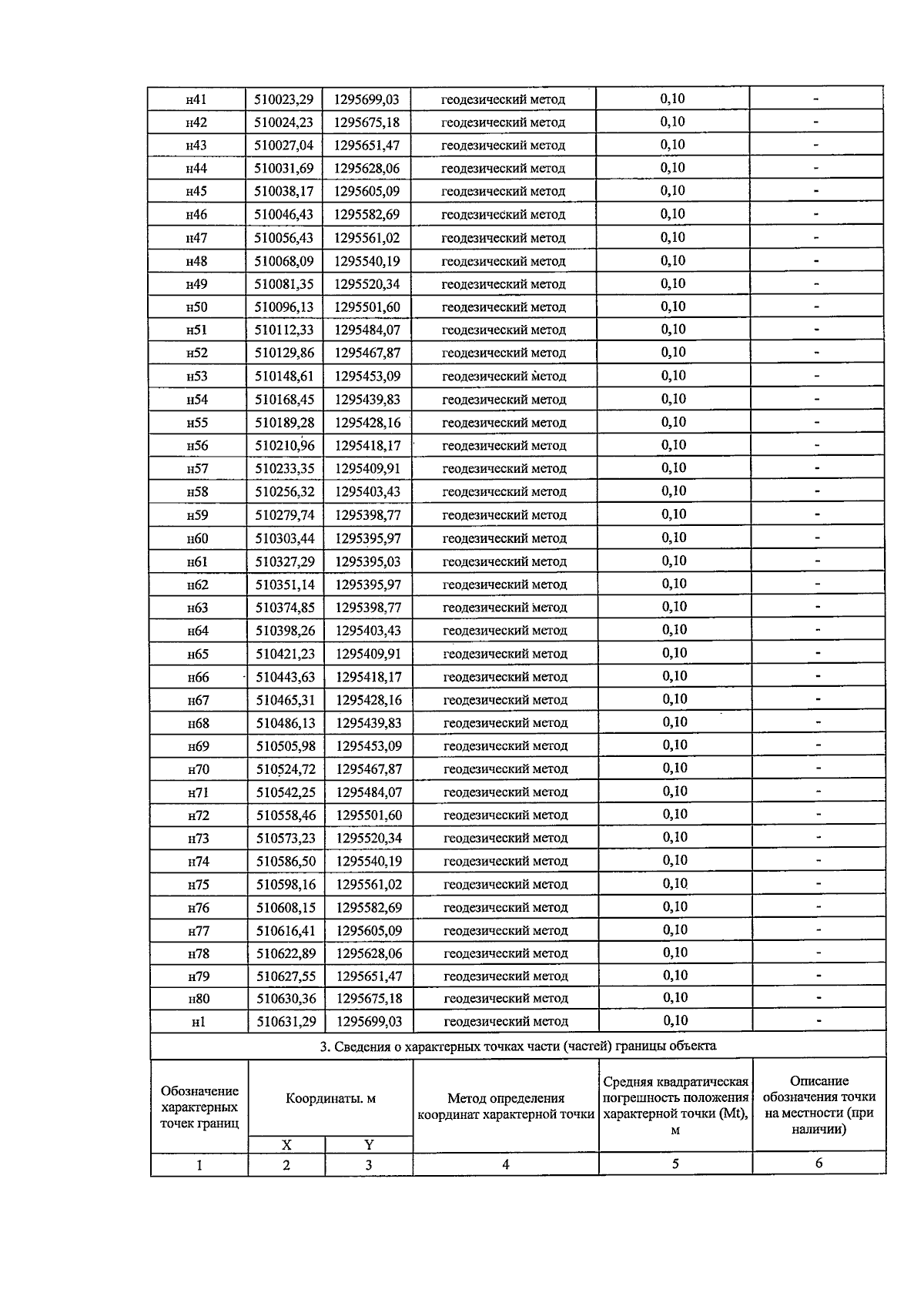
Приказ министерства природных ресурсов и экологии Воронежской области от 25.08.2025 № 369
"Об установлении зон санитарной охраны одиночного водозабора, используемого на питьевые, хозяйственно-бытовые и технологические цели ТЗК АО "Газпромнефть-Аэро" филиала "Балтимор" ПБ "БалтиМор"
(Зарегистрирован 03.09.2025 № 990)
Номер опубликования: 3601202509050009
Дата опубликования: 05.09.2025
Страница №17 из 18:
Увеличить