Приказ министерства природных ресурсов и экологии Воронежской области от 19.08.2025 № 354
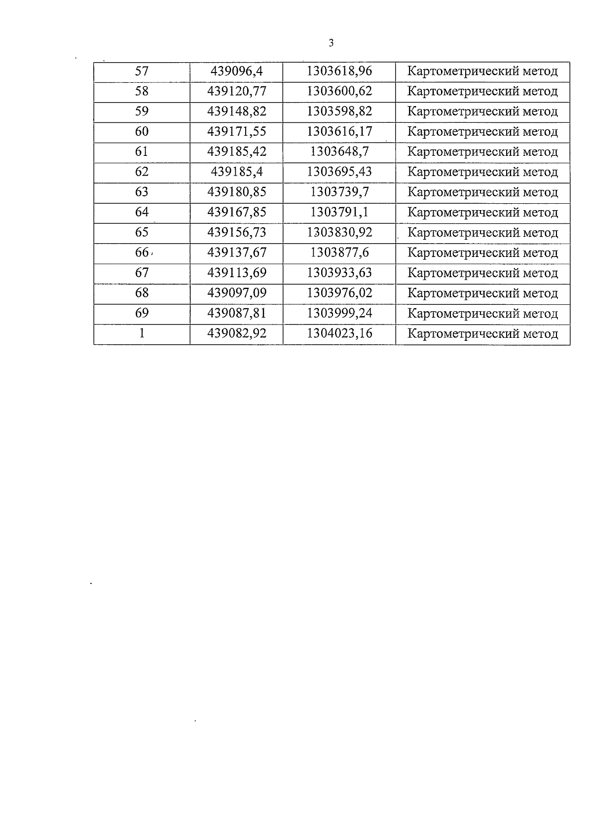
"Об утверждении описания местоположения береговой линии (границы водного объекта) озера Верхнее Банное на территории Острогожского муниципального района Воронежской области"
(Зарегистрирован 03.09.2025 № 978)
"Об утверждении описания местоположения береговой линии (границы водного объекта) озера Верхнее Банное на территории Острогожского муниципального района Воронежской области"
(Зарегистрирован 03.09.2025 № 978)
Номер опубликования: 3601202509050003
Дата опубликования:
05.09.2025
