Официальное опубликование правовых актов
ОФИЦИАЛЬНОЕ ОПУБЛИКОВАНИЕ
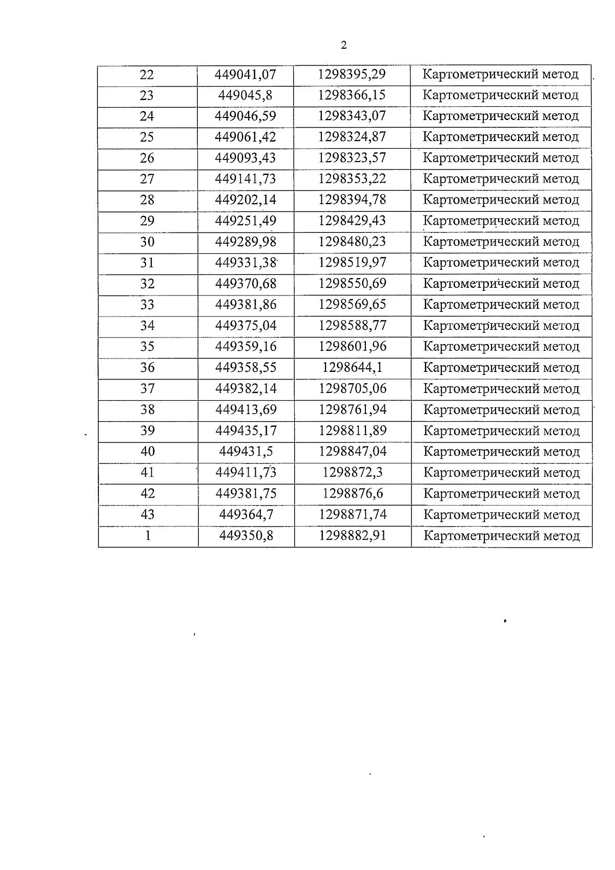
Приказ министерства природных ресурсов и экологии Воронежской области от 19.08.2025 № 356
"Об утверждении описания местоположения береговой линии (границы водного объекта) озера Круглое на территории Лискинского муниципального района Воронежской области"
(Зарегистрирован 03.09.2025 № 981)
Номер опубликования: 3601202509050002
Дата опубликования: 05.09.2025
Страница №4 из 5:
Увеличить