Официальное опубликование правовых актов
ОФИЦИАЛЬНОЕ ОПУБЛИКОВАНИЕ
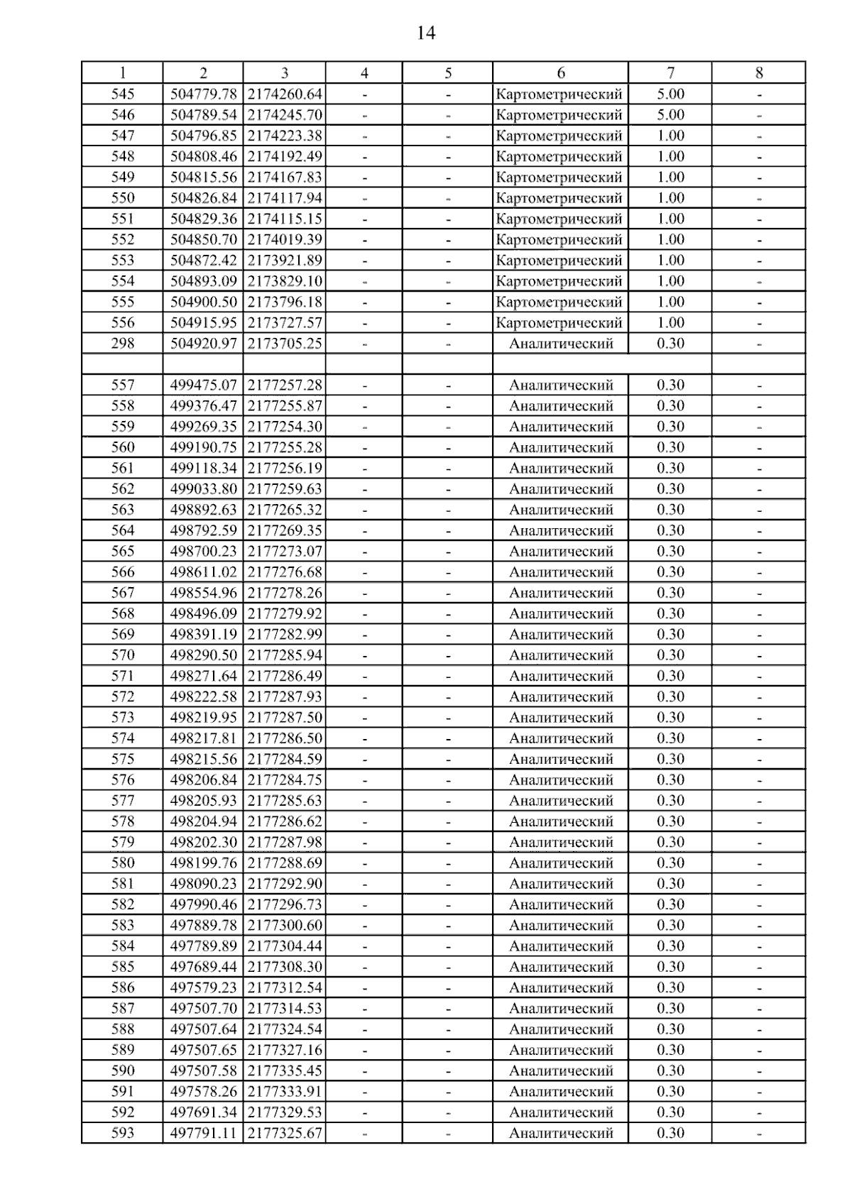
Приказ министерства архитектуры и градостроительства Воронежской области от 12.08.2025 № 45-01-04/393
"О внесении изменений в правила землепользования и застройки Мосоловского сельского поселения Аннинского муниципального района Воронежской области"
(Зарегистрирован 02.09.2025 № 948)
Номер опубликования: 3601202509040011
Дата опубликования: 04.09.2025
Страница №48 из 49:
Увеличить