Официальное опубликование правовых актов
ОФИЦИАЛЬНОЕ ОПУБЛИКОВАНИЕ
Приказ министерства архитектуры и градостроительства Воронежской области от 12.08.2025 № 45-01-04/394
"О внесении изменений в правила землепользования и застройки Рогачёвского сельского поселения Новоусманского муниципального района Воронежской области"
(Зарегистрирован 02.09.2025 № 949)
Номер опубликования: 3601202509040010
Дата опубликования: 04.09.2025
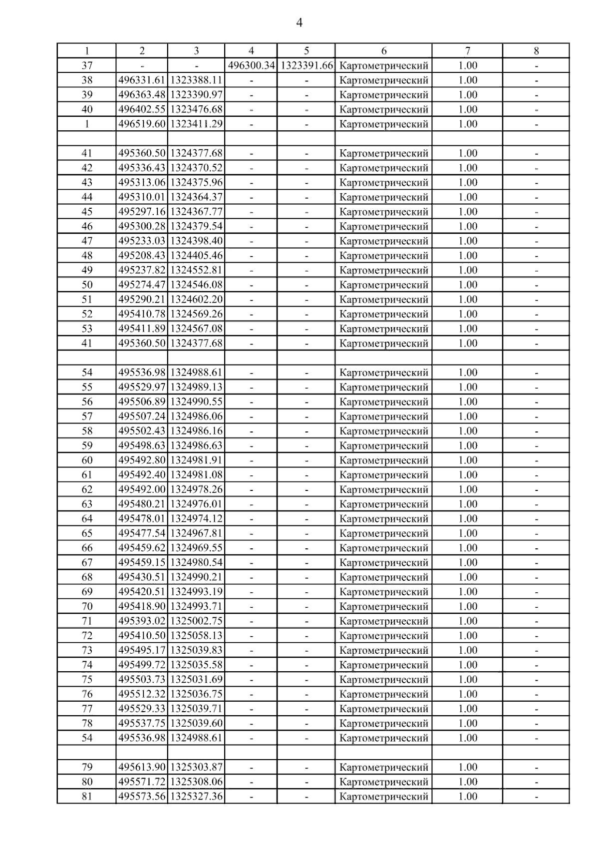
Страница №33 из 60:
Увеличить