Официальное опубликование правовых актов
ОФИЦИАЛЬНОЕ ОПУБЛИКОВАНИЕ
Приказ министерства архитектуры и градостроительства Воронежской области от 13.08.2025 № 45-01-04/395
"О внесении изменений в правила землепользования и застройки Скупопотуданского сельского поселения Нижнедевицкого муниципального района Воронежской области"
(Зарегистрирован 02.09.2025 № 950)
Номер опубликования: 3601202509040008
Дата опубликования: 04.09.2025
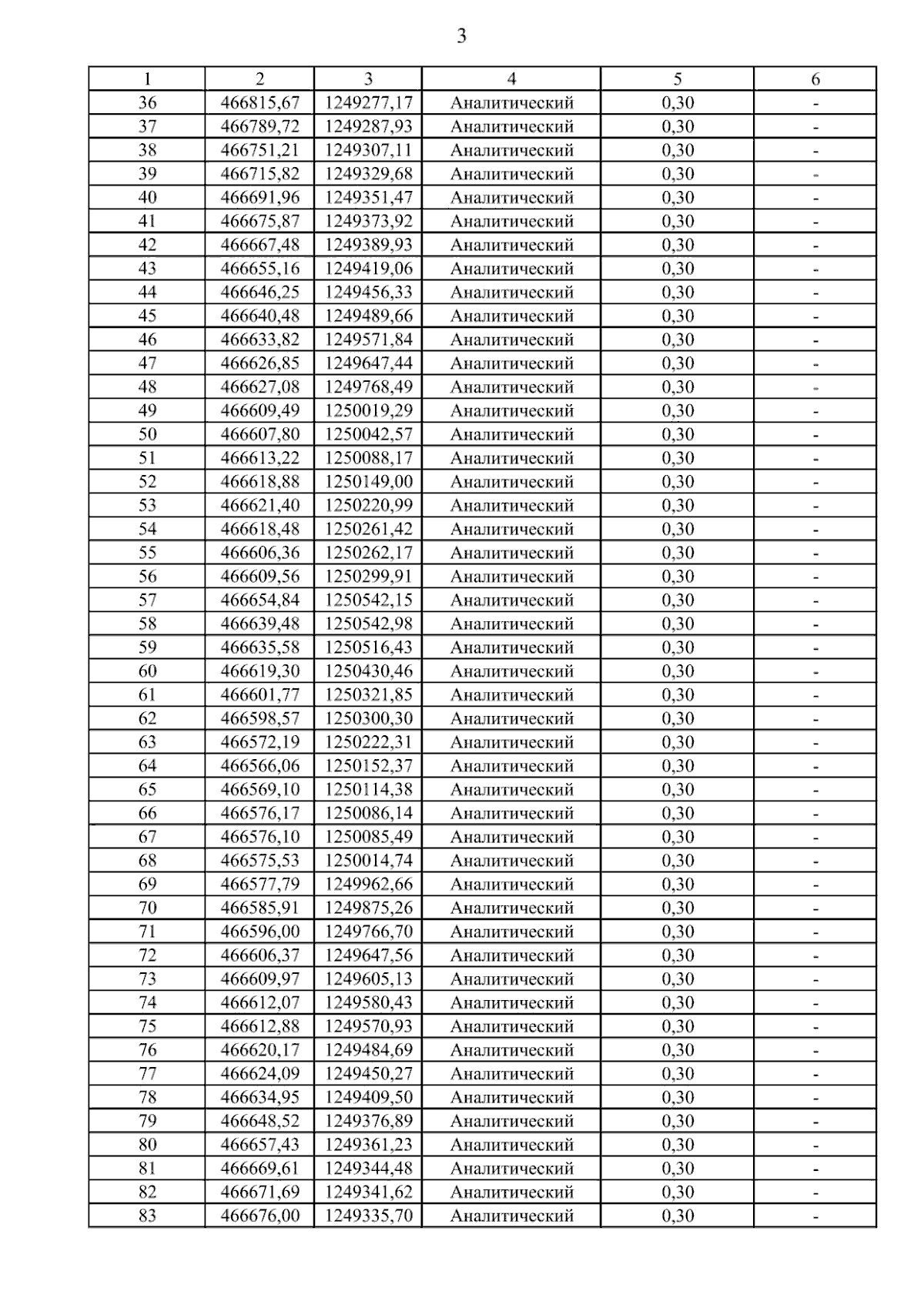
Страница №60 из 63:
Увеличить