Официальное опубликование правовых актов
ОФИЦИАЛЬНОЕ ОПУБЛИКОВАНИЕ
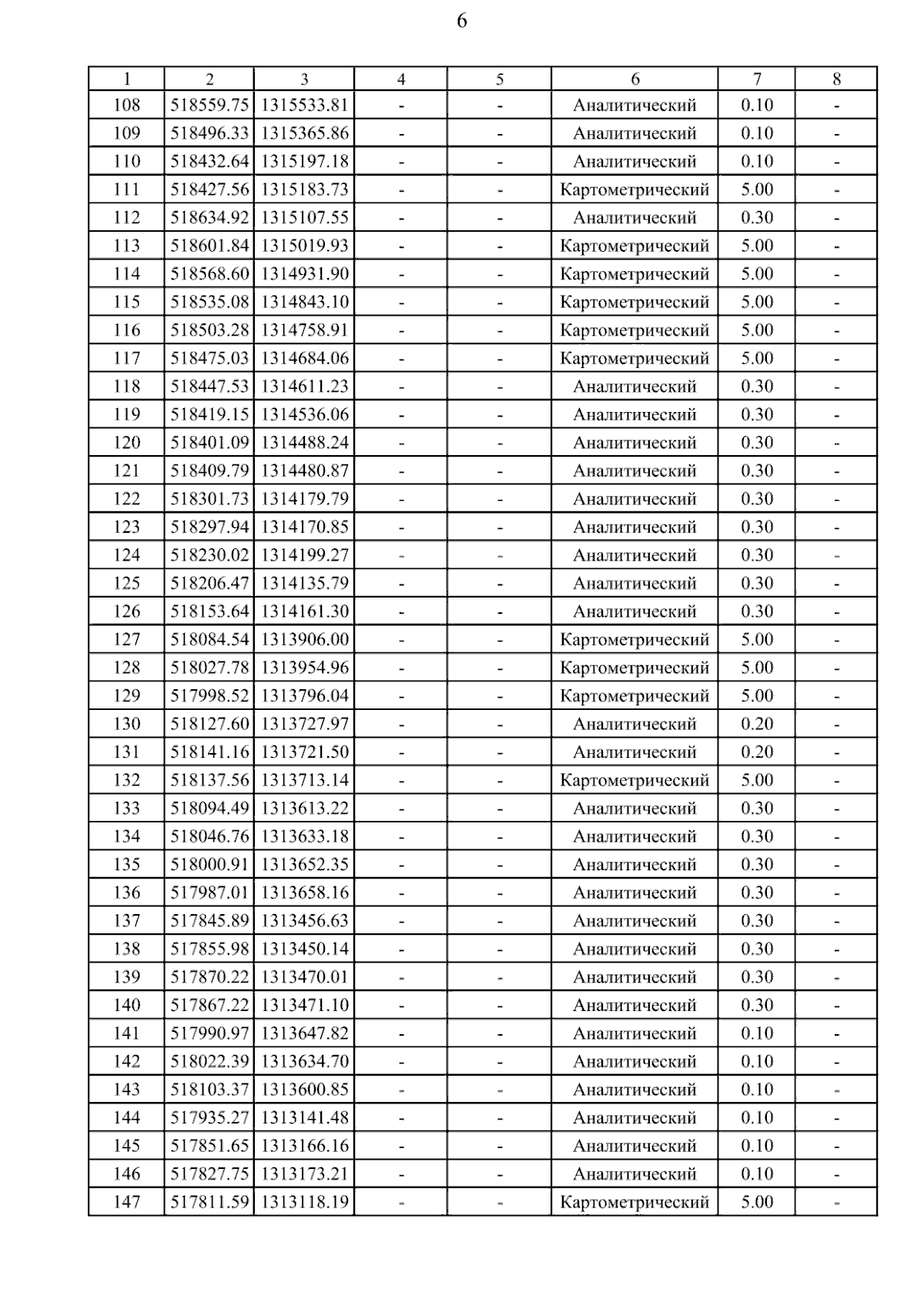
Приказ министерства архитектуры и градостроительства Воронежской области от 18.08.2025 № 45-01-04/421
"О внесении изменений в правила землепользования и застройки Бабяковского сельского поселения Новоусманского муниципального района Воронежской области"
(Зарегистрирован 02.09.2025 № 953)
Номер опубликования: 3601202509040003
Дата опубликования: 04.09.2025
Страница №101 из 124:
Увеличить