Официальное опубликование правовых актов
ОФИЦИАЛЬНОЕ ОПУБЛИКОВАНИЕ
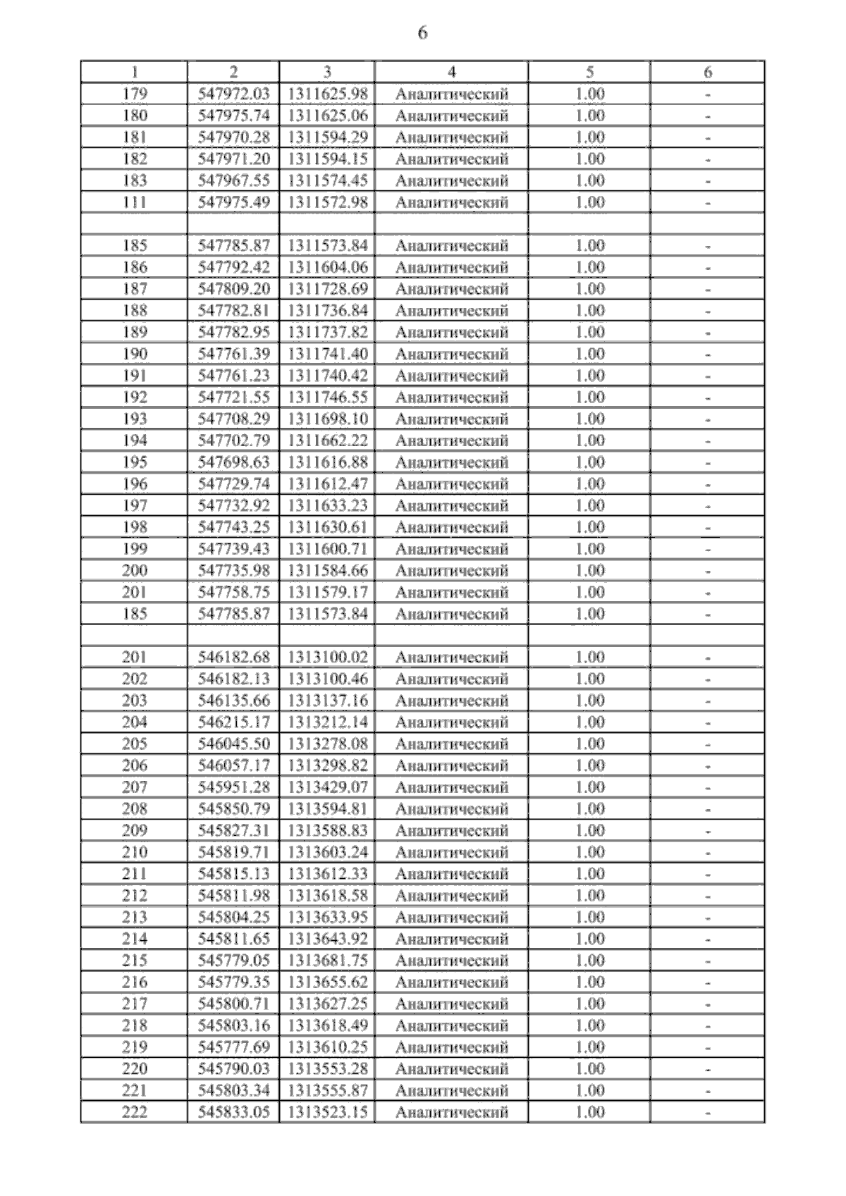
Приказ министерства архитектуры и градостроительства Воронежской области от 22.07.2025 № 45-01-04/350
"О внесении изменений в правила землепользования и застройки Ступинского сельского поселения Рамонского муниципального района Воронежской области"
(Зарегистрирован 19.08.2025 № 869)
Номер опубликования: 3601202508200028
Дата опубликования: 20.08.2025
Страница №30 из 65:
Увеличить