Официальное опубликование правовых актов
ОФИЦИАЛЬНОЕ ОПУБЛИКОВАНИЕ
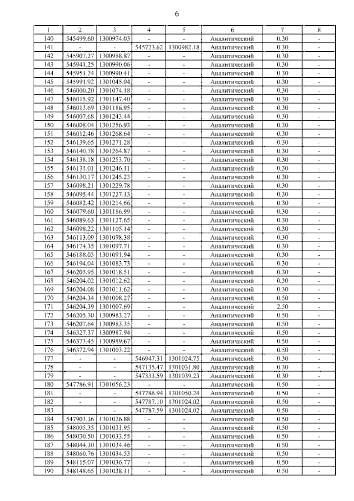
Приказ министерства архитектуры и градостроительства Воронежской области от 21.07.2025 № 45-01-04/345
"О внесении изменений в правила землепользования и застройки Горожанского сельского поселения Рамонского муниципального района Воронежской области"
(Зарегистрирован 19.08.2025 № 867)
Номер опубликования: 3601202508200026
Дата опубликования: 20.08.2025
Страница №11 из 20:
Увеличить