Официальное опубликование правовых актов
ОФИЦИАЛЬНОЕ ОПУБЛИКОВАНИЕ
Приказ министерства архитектуры и градостроительства Воронежской области от 21.07.2025 № 45-01-04/344
"О внесении изменений в правила землепользования и застройки Александровского сельского поселения Эртильского муниципального района Воронежской области"
(Зарегистрирован 19.08.2025 № 866)
Номер опубликования: 3601202508200024
Дата опубликования: 20.08.2025
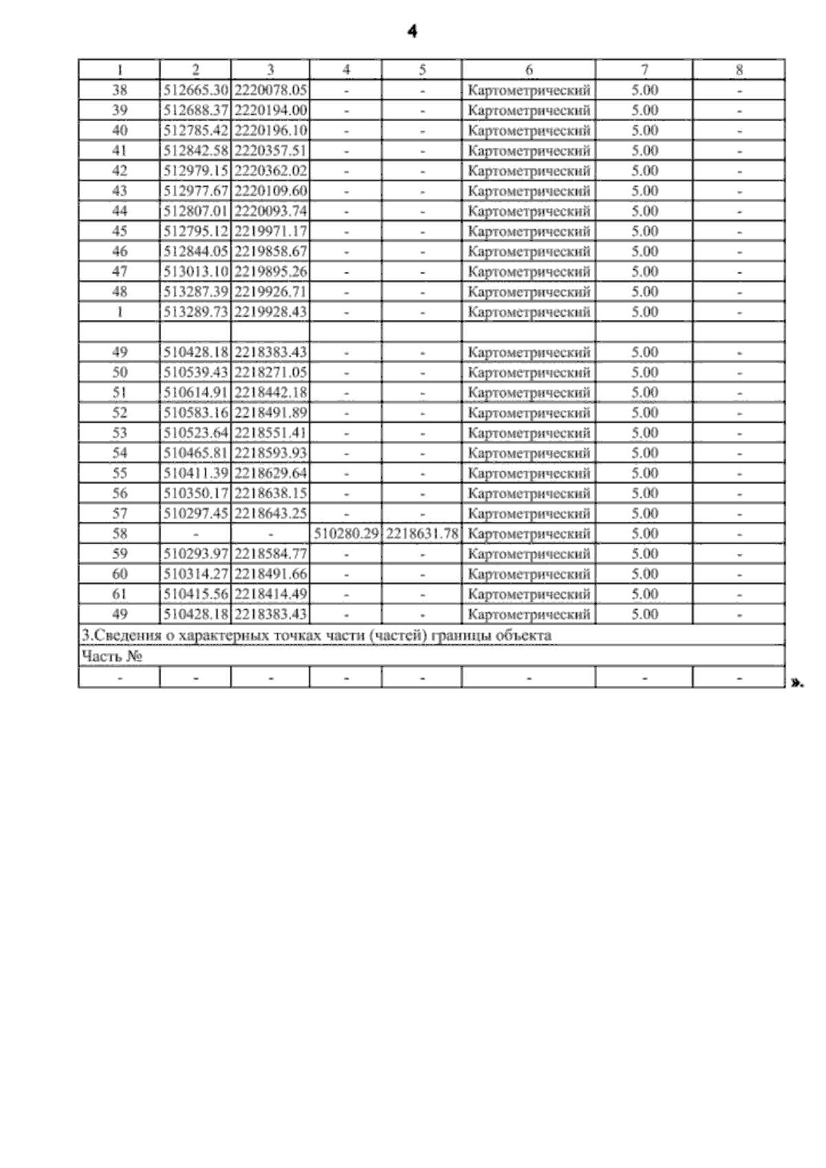
Страница №32 из 72:
Увеличить