Официальное опубликование правовых актов
ОФИЦИАЛЬНОЕ ОПУБЛИКОВАНИЕ
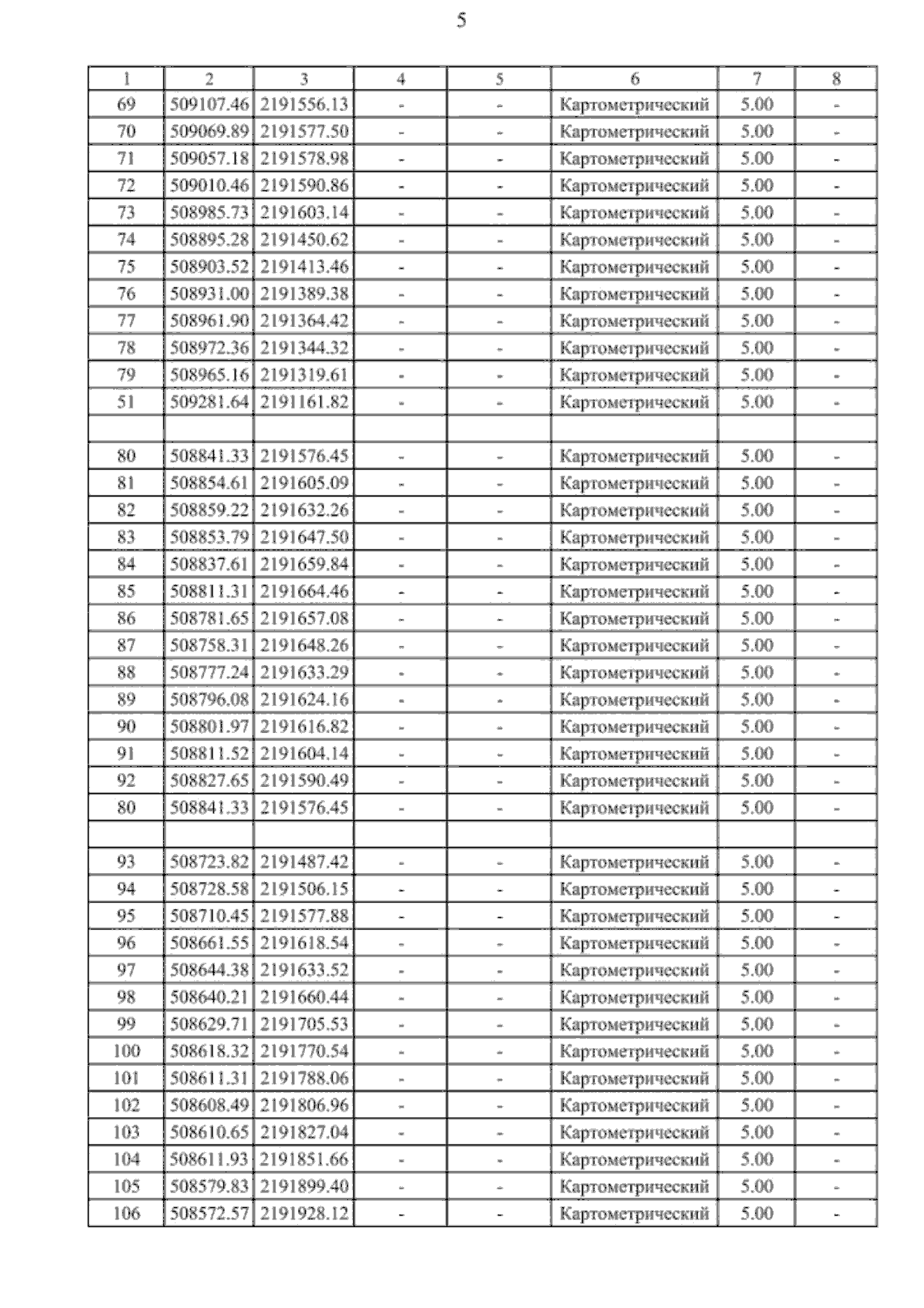
Приказ министерства архитектуры и градостроительства Воронежской области от 22.07.2025 № 45-01-04/354
"О внесении изменений в правила землепользования и застройки Рубашевского сельского поселения Аннинского муниципального района Воронежской области"
(Зарегистрирован 19.08.2025 № 873)
Номер опубликования: 3601202508200019
Дата опубликования: 20.08.2025
Страница №12 из 21:
Увеличить