Официальное опубликование правовых актов
ОФИЦИАЛЬНОЕ ОПУБЛИКОВАНИЕ
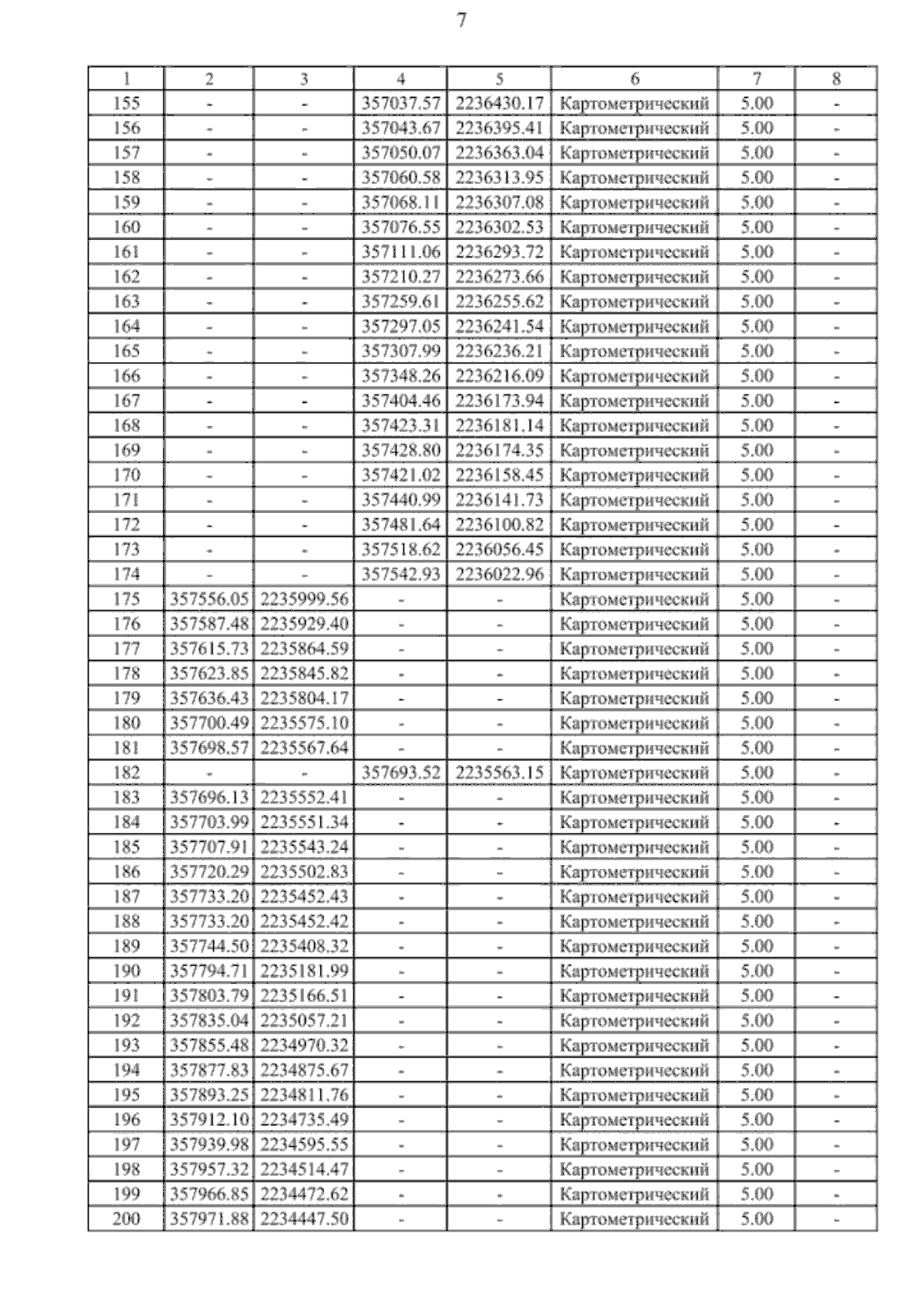
Приказ министерства архитектуры и градостроительства Воронежской области от 22.07.2025 № 45-01-04/353
"О внесении изменений в правила землепользования и застройки Новокриушанского сельского поселения Калачеевского муниципального района Воронежской области"
(Зарегистрирован 19.08.2025 № 872)
Номер опубликования: 3601202508200018
Дата опубликования: 20.08.2025
Страница №84 из 86:
Увеличить