Официальное опубликование правовых актов
ОФИЦИАЛЬНОЕ ОПУБЛИКОВАНИЕ
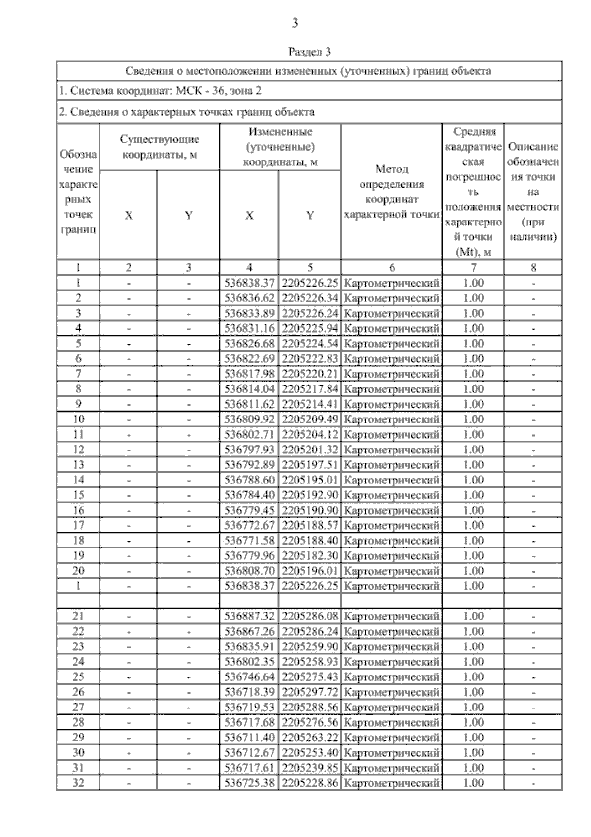
Приказ министерства архитектуры и градостроительства Воронежской области от 22.07.2025 № 45-01-04/352
"О внесении изменений в правила землепользования и застройки Большедобринского сельского поселения Эртильского муниципального района Воронежской области"
(Зарегистрирован 19.08.2025 № 871)
Номер опубликования: 3601202508200016
Дата опубликования: 20.08.2025
Страница №33 из 39:
Увеличить