Приказ министерства тарифного регулирования Воронежской области от 14.08.2025 № 32/1
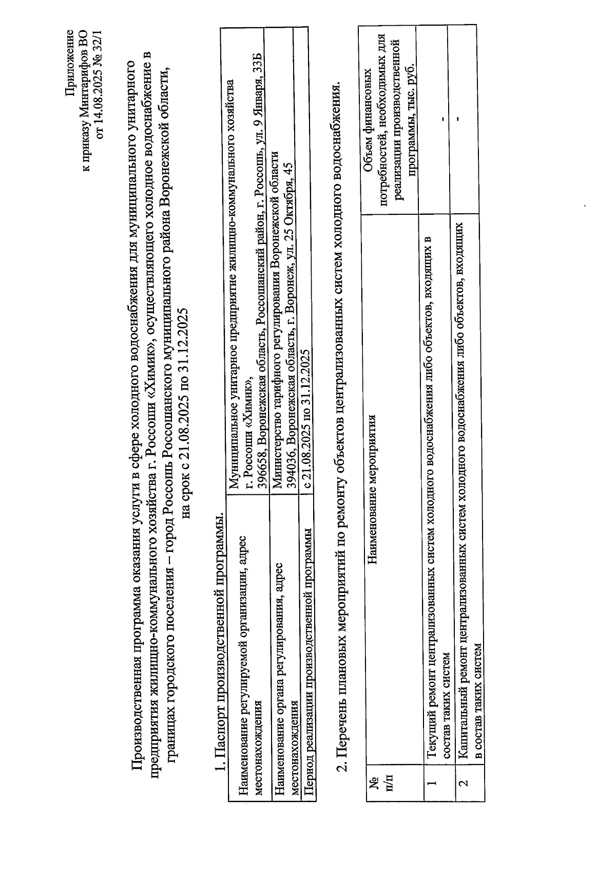
"Об установлении тарифов на транспортировку воды для муниципального унитарного предприятия жилищно-коммунального хозяйства г. Россоши "Химик", осуществляющего холодное водоснабжение в границах городского поселения – город Россошь Россошанского муниципального района Воронежской области, на 2025 год"
(Зарегистрирован 20.08.2025 № 904)
"Об установлении тарифов на транспортировку воды для муниципального унитарного предприятия жилищно-коммунального хозяйства г. Россоши "Химик", осуществляющего холодное водоснабжение в границах городского поселения – город Россошь Россошанского муниципального района Воронежской области, на 2025 год"
(Зарегистрирован 20.08.2025 № 904)
Номер опубликования: 3601202508200004
Дата опубликования:
20.08.2025
