Официальное опубликование правовых актов
ОФИЦИАЛЬНОЕ ОПУБЛИКОВАНИЕ
Приказ министерства архитектуры и градостроительства Воронежской области от 22.07.2025 № 45-01-04/348
"О внесении изменений в правила землепользования и застройки Левороссошанского сельского поселения Каширского муниципального района Воронежской области"
(Зарегистрирован 15.08.2025 № 864)
Номер опубликования: 3601202508180003
Дата опубликования: 18.08.2025
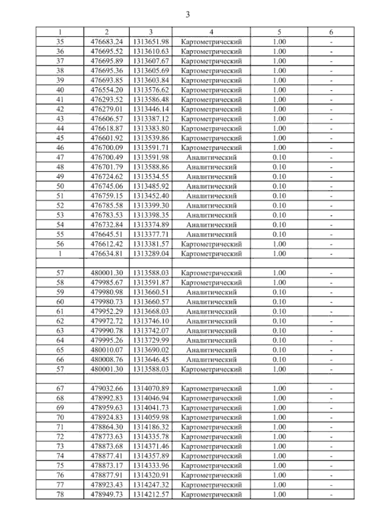
Страница №41 из 58:
Увеличить