Официальное опубликование правовых актов
ОФИЦИАЛЬНОЕ ОПУБЛИКОВАНИЕ
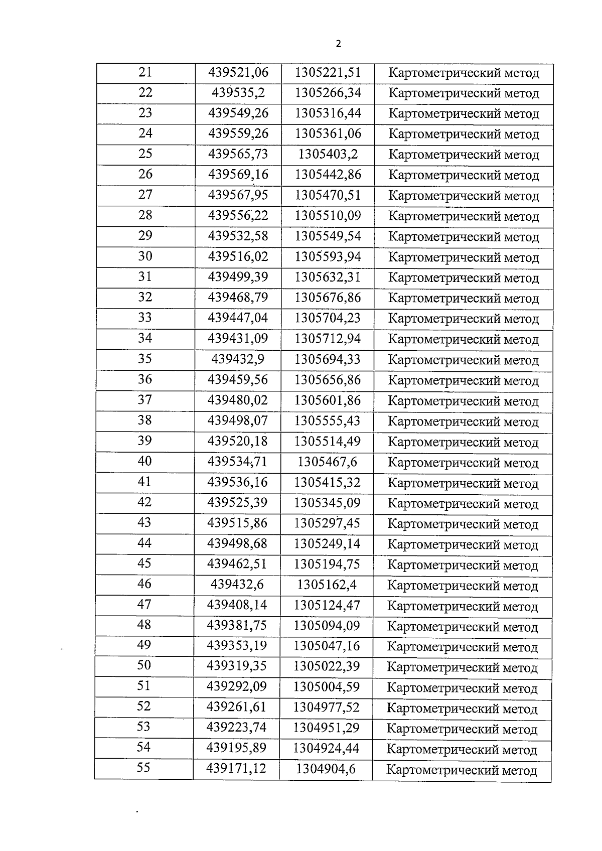
Приказ министерства природных ресурсов и экологии Воронежской области от 28.07.2025 № 307
"Об утверждении описания местоположения береговых линий (границ водного объекта) озера Нижнее Банное на территории Острогожского муниципального района Воронежской области"
(Зарегистрирован 08.08.2025 № 849)
Номер опубликования: 3601202508120004
Дата опубликования: 12.08.2025
Страница №4 из 6:
Увеличить