Официальное опубликование правовых актов
ОФИЦИАЛЬНОЕ ОПУБЛИКОВАНИЕ
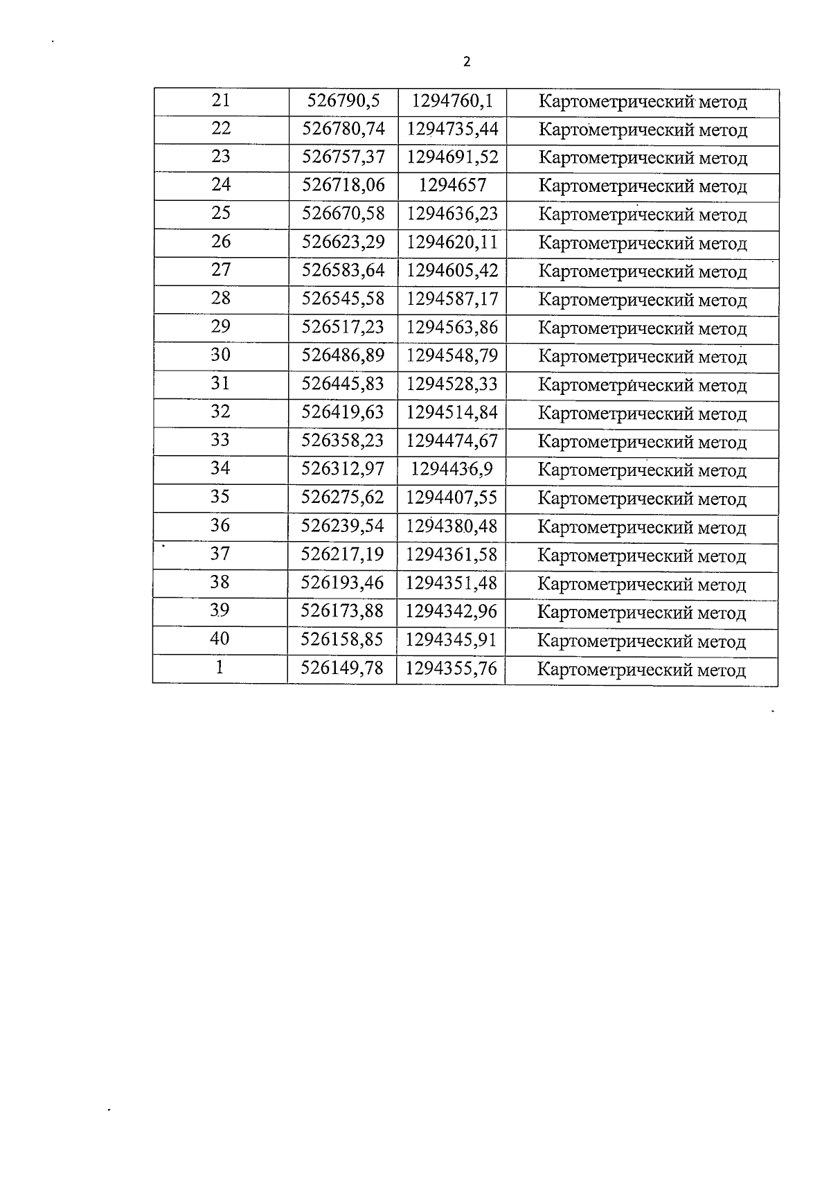
Приказ министерства природных ресурсов и экологии Воронежской области от 28.07.2025 № 308
"Об утверждении описания местоположения береговых линий (границ водного объекта) озера Глубокое на территории Рамонского муниципального района Воронежской области"
(Зарегистрирован 08.08.2025 № 850)
Номер опубликования: 3601202508120001
Дата опубликования: 12.08.2025
Страница №4 из 5:
Увеличить