Официальное опубликование правовых актов
ОФИЦИАЛЬНОЕ ОПУБЛИКОВАНИЕ
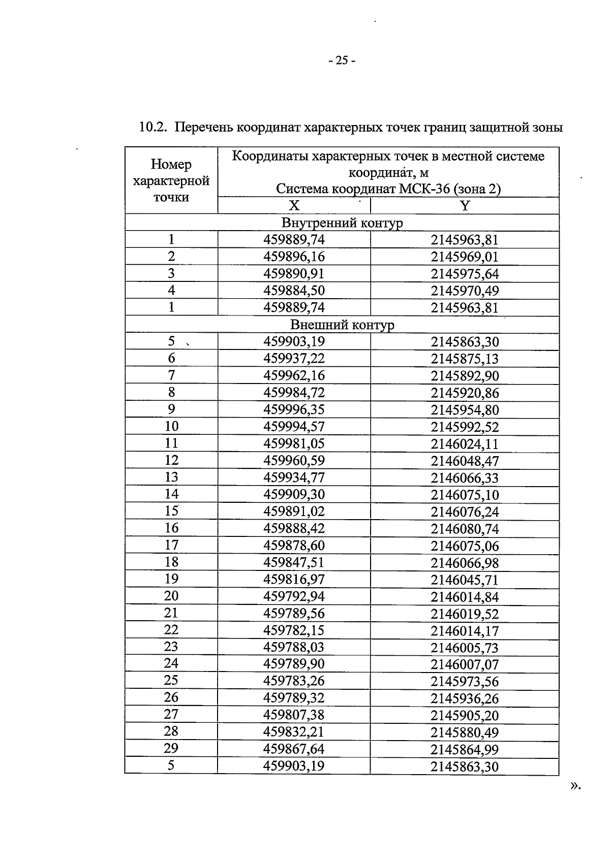
Приказ управления по охране объектов культурного наследия Воронежской области от 08.07.2025 № 71-01-05/136
"О внесении изменений в приказ управления по охране объектов культурного наследия Воронежской области от 13.08.2019 № 71-01-07/201"
(Зарегистрирован 04.08.2025 № 809)
Номер опубликования: 3601202508050003
Дата опубликования: 05.08.2025
Страница №25 из 40:
Увеличить