Официальное опубликование правовых актов
ОФИЦИАЛЬНОЕ ОПУБЛИКОВАНИЕ
Приказ управления по охране объектов культурного наследия Воронежской области от 08.07.2025 № 71-01-05/133
"О внесении изменений в приказ управления по охране объектов культурного наследия Воронежской области от 03.09.2019 № 71-01-07/212"
(Зарегистрирован 01.08.2025 № 806)
Номер опубликования: 3601202508050001
Дата опубликования: 05.08.2025
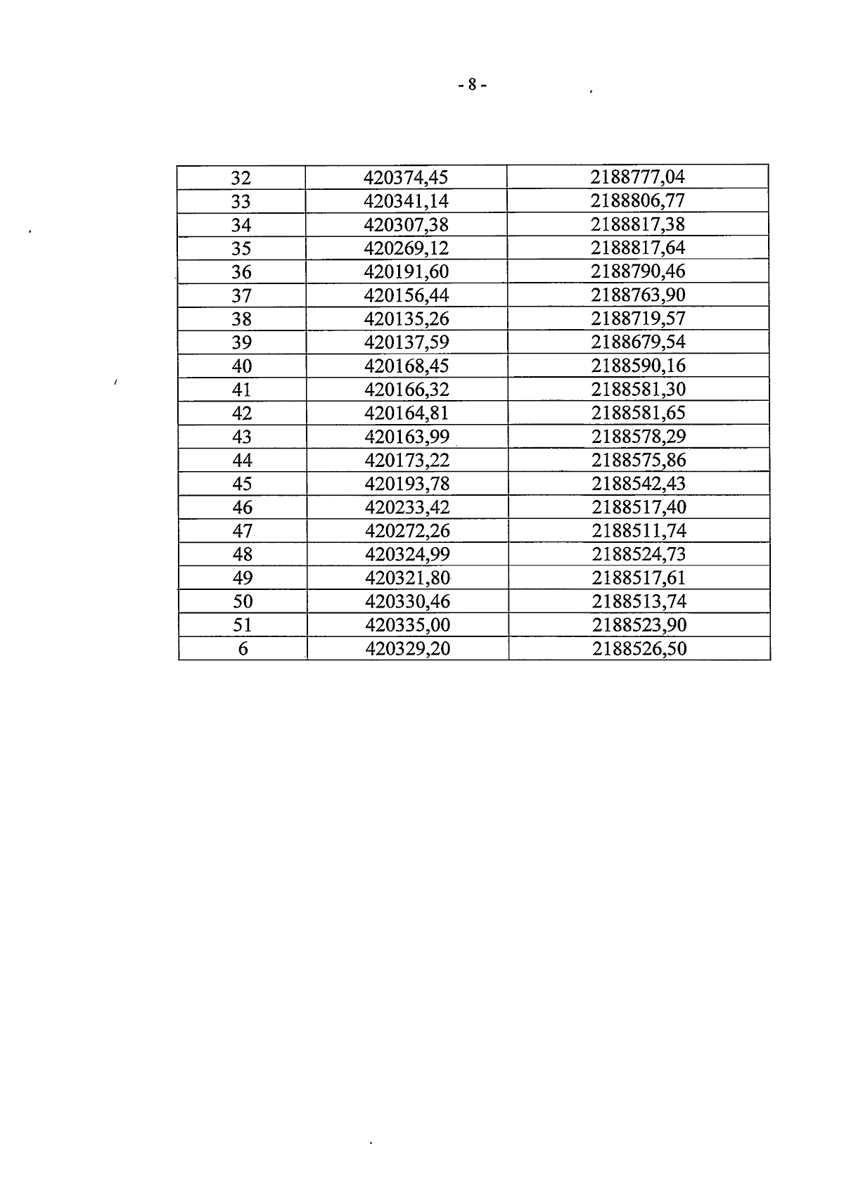
Страница №8 из 11:
Увеличить