Официальное опубликование правовых актов
ОФИЦИАЛЬНОЕ ОПУБЛИКОВАНИЕ
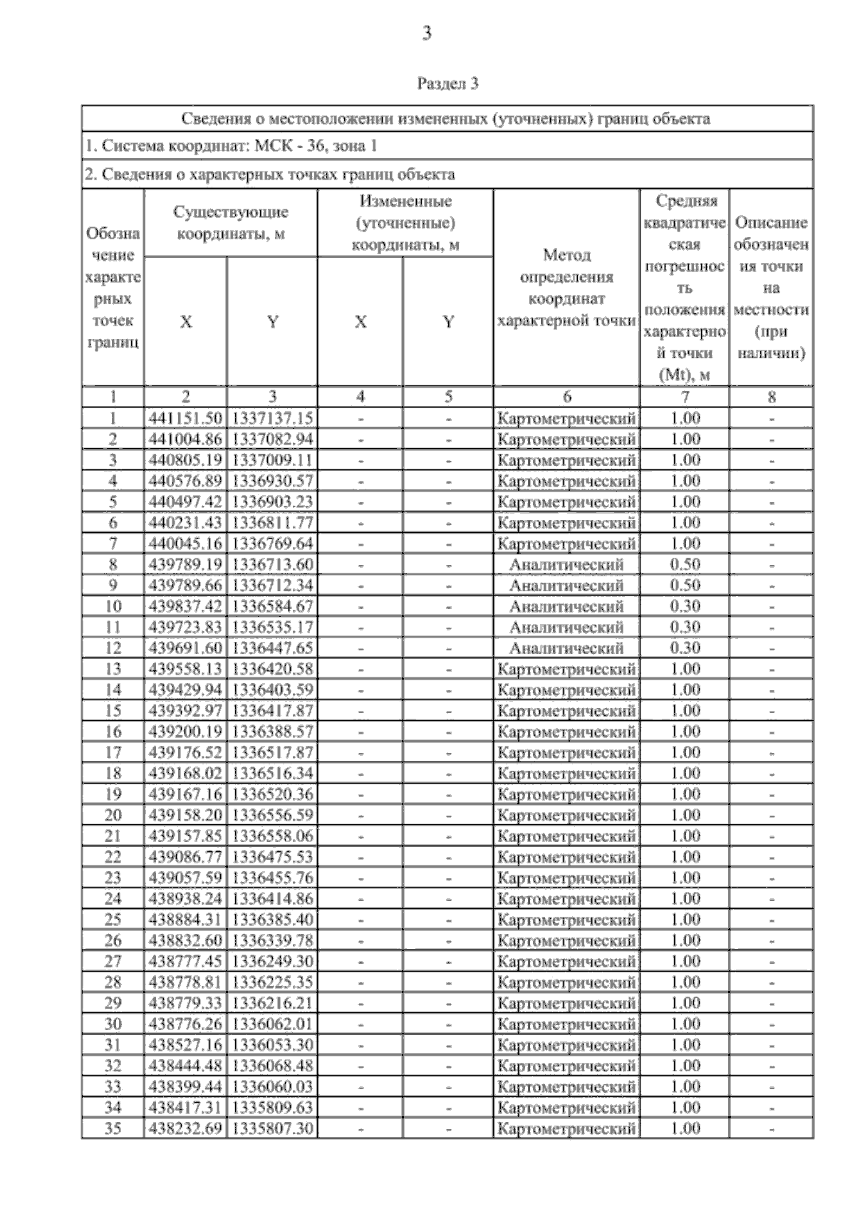
Приказ министерства архитектуры и градостроительства Воронежской области от 02.07.2025 № 45-01-04/312
"О внесении изменений в правила землепользования и застройки Нижнеикорецкого сельского поселения Лискинского муниципального района Воронежской области"
(Зарегистрирован 29.07.2025 № 791)
Номер опубликования: 3601202507300005
Дата опубликования: 30.07.2025
Страница №9 из 49:
Увеличить