Официальное опубликование правовых актов
ОФИЦИАЛЬНОЕ ОПУБЛИКОВАНИЕ
Приказ министерства архитектуры и градостроительства Воронежской области от 04.07.2025 № 45-01-04/322
"О внесении изменений в правила землепользования и застройки Монастырщинского сельского поселения Богучарского муниципального района Воронежской области"
(Зарегистрирован 29.07.2025 № 796)
Номер опубликования: 3601202507300004
Дата опубликования: 30.07.2025
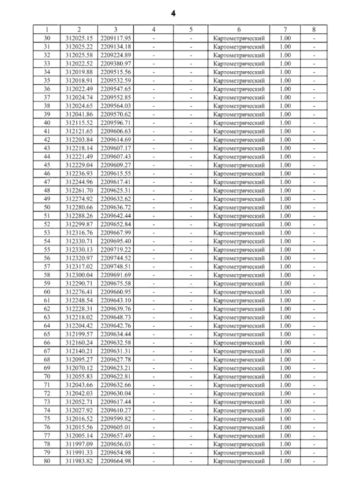
Страница №11 из 45:
Увеличить