Официальное опубликование правовых актов
ОФИЦИАЛЬНОЕ ОПУБЛИКОВАНИЕ
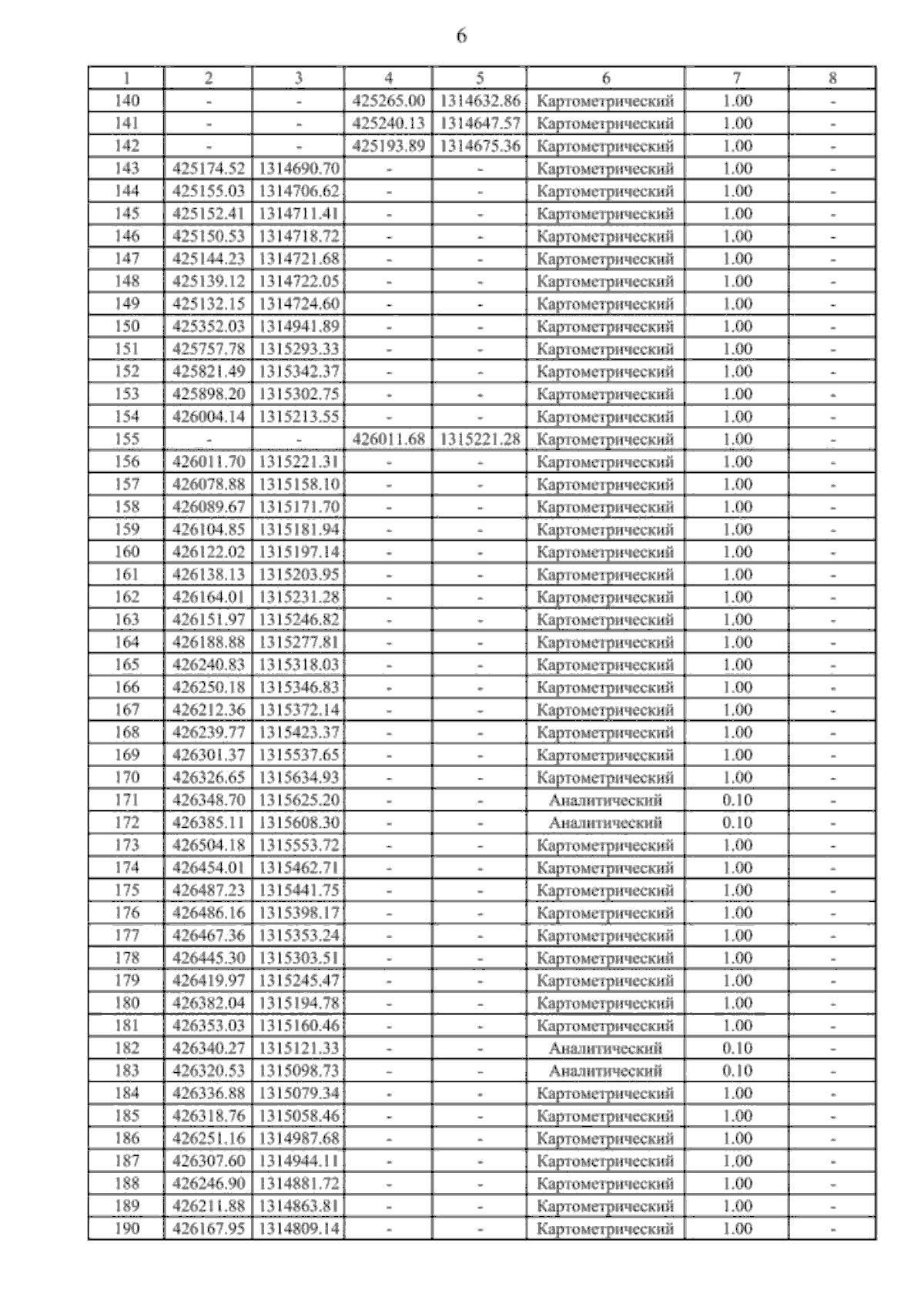
Приказ министерства архитектуры и градостроительства Воронежской области от 02.07.2025 № 45-01-04/313
"О внесении изменений в правила землепользования и застройки Ковалёвского сельского поселения Лискинского муниципального района Воронежской области"
(Зарегистрирован 29.07.2025 № 795)
Номер опубликования: 3601202507300003
Дата опубликования: 30.07.2025
Страница №12 из 74:
Увеличить