Официальное опубликование правовых актов
ОФИЦИАЛЬНОЕ ОПУБЛИКОВАНИЕ
Приказ министерства архитектуры и градостроительства Воронежской области от 01.07.2025 № 45-01-04/309
"О внесении изменений в правила землепользования и застройки Усманского 1-го сельского поселения Новоусманского муниципального района Воронежской области"
(Зарегистрирован 29.07.2025 № 789)
Номер опубликования: 3601202507300001
Дата опубликования: 30.07.2025
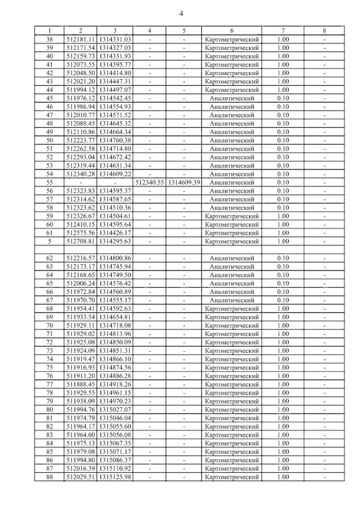
Страница №152 из 197:
Увеличить