Официальное опубликование правовых актов
ОФИЦИАЛЬНОЕ ОПУБЛИКОВАНИЕ
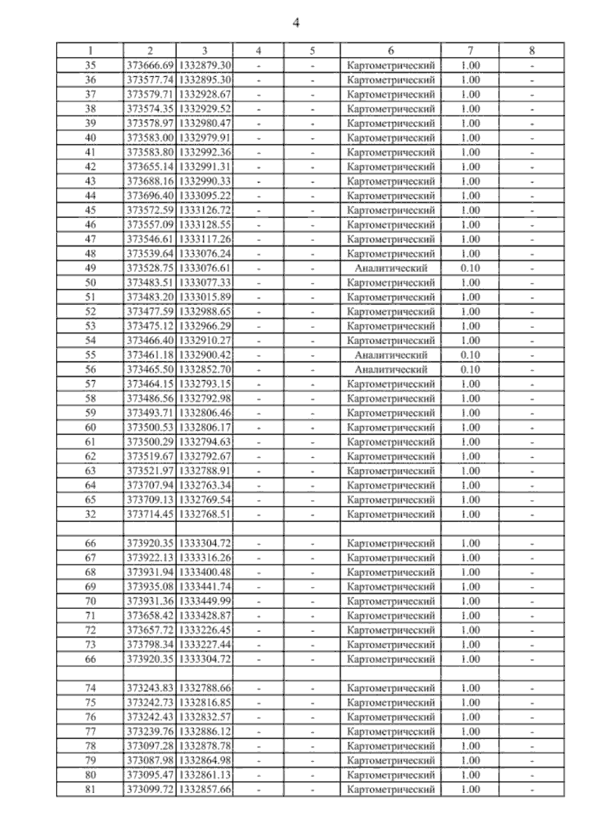
Приказ министерства архитектуры и градостроительства Воронежской области от 26.06.2025 № 45-01-04/304
"О внесении изменений в правила землепользования и застройки Подгоренского городского поселения Подгоренского муниципального района Воронежской области"
(Зарегистрирован 17.07.2025 № 768)
Номер опубликования: 3601202507180002
Дата опубликования: 18.07.2025
Страница №29 из 82:
Увеличить