Официальное опубликование правовых актов
ОФИЦИАЛЬНОЕ ОПУБЛИКОВАНИЕ
Приказ министерства природных ресурсов и экологии Воронежской области от 18.06.2025 № 264
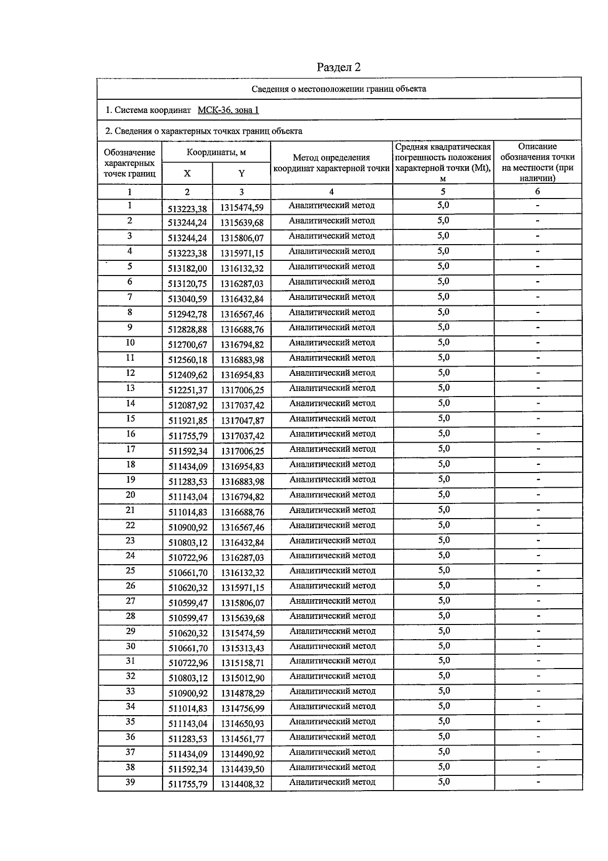
"Об установлении зон санитарной охраны шести эксплуатационных скважин № 1/23-95, № 2/79464, № 3/79465, № 4/79466, № 5/23-93, № 6р/23-92 группового водозабора МООО "НКХ" для питьевого и хозяйственно-бытового водоснабжения населения и объектов социальной инфраструктуры микрорайона "Ольха" с. Новая Усмань"
(Зарегистрирован 27.06.2025 № 719)
Номер опубликования: 3601202507030001
Дата опубликования: 03.07.2025
Страница №19 из 21:
Увеличить