Официальное опубликование правовых актов
ОФИЦИАЛЬНОЕ ОПУБЛИКОВАНИЕ
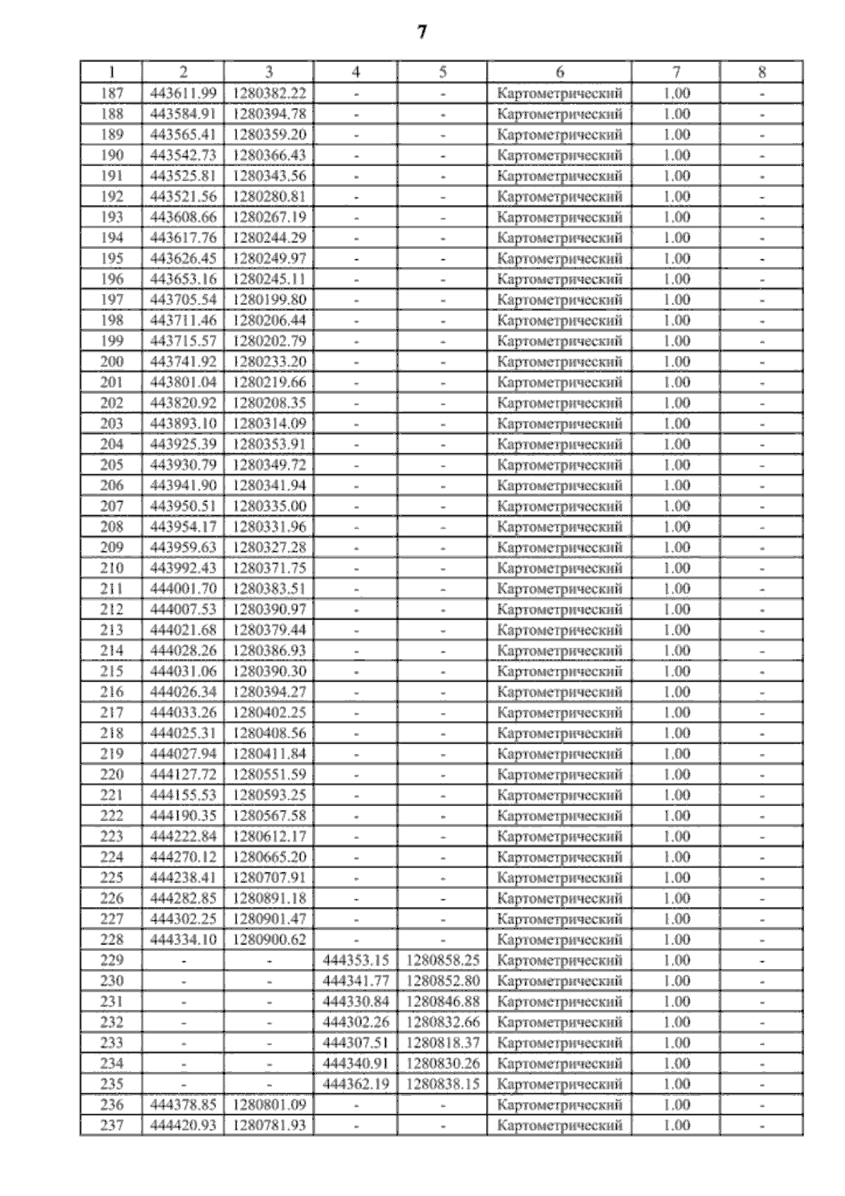
Приказ министерства архитектуры и градостроительства Воронежской области от 09.06.2025 № 45-01-04/293
"О внесении изменений в правила землепользования и застройки Колбинского сельского поселения Репьёвского муниципального района Воронежской области"
(Зарегистрирован 16.06.2025 № 667)
Номер опубликования: 3601202506180006
Дата опубликования: 18.06.2025
Страница №15 из 23:
Увеличить