Официальное опубликование правовых актов
ОФИЦИАЛЬНОЕ ОПУБЛИКОВАНИЕ
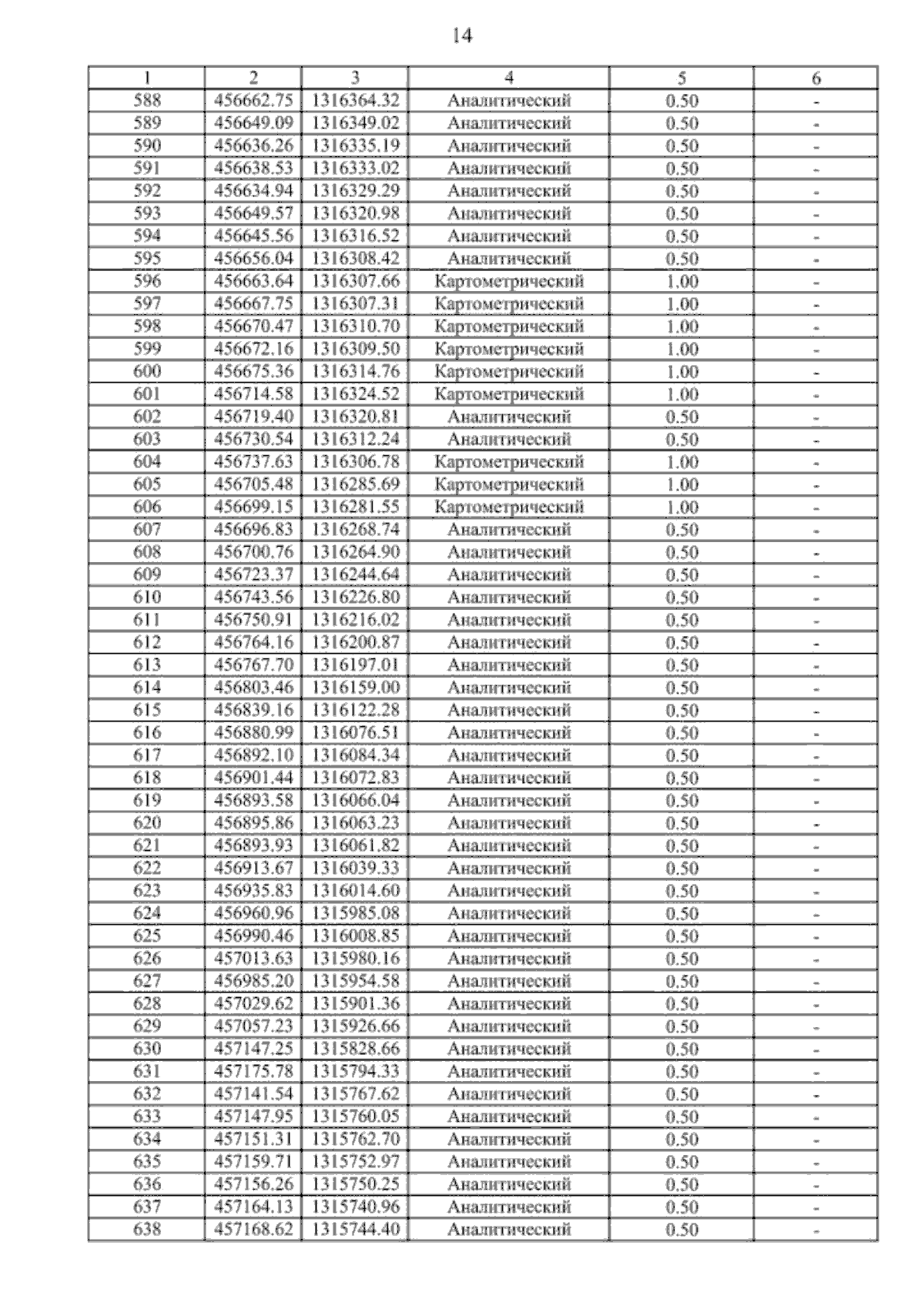
Приказ министерства архитектуры и градостроительства Воронежской области от 05.06.2025 № 45-01-04/283
"О внесении изменений в правила землепользования и застройки Давыдовского городского поселения Лискинского муниципального района Воронежской области"
(Зарегистрирован 16.06.2025 № 662)
Номер опубликования: 3601202506180003
Дата опубликования: 18.06.2025
Страница №21 из 73:
Увеличить