Официальное опубликование правовых актов
ОФИЦИАЛЬНОЕ ОПУБЛИКОВАНИЕ
Приказ министерства архитектуры и градостроительства Воронежской области от 05.06.2025 № 45-01-04/282
"О внесении изменений в правила землепользования и застройки Васильевского сельского поселения Бутурлиновского муниципального района Воронежской области"
(Зарегистрирован 16.06.2025 № 661)
Номер опубликования: 3601202506180002
Дата опубликования: 18.06.2025
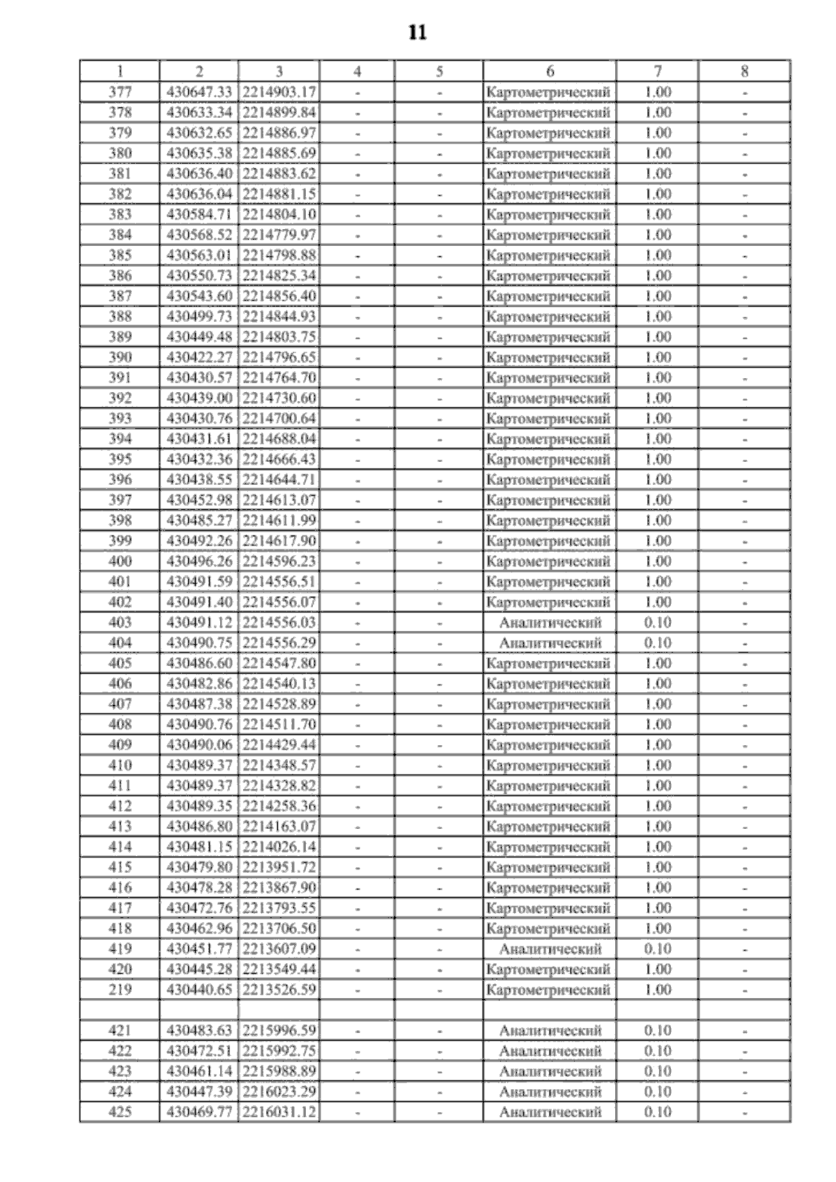
Страница №19 из 65:
Увеличить