Официальное опубликование правовых актов
ОФИЦИАЛЬНОЕ ОПУБЛИКОВАНИЕ
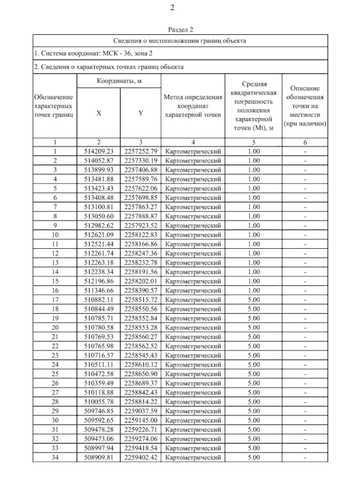
Приказ министерства архитектуры и градостроительства Воронежской области от 03.06.2025 № 45-01-04/277
"О внесении изменений в правила землепользования и застройки Терновского сельского поселения Терновского муниципального района Воронежской области"
(Зарегистрирован 10.06.2025 № 650)
Номер опубликования: 3601202506160010
Дата опубликования: 16.06.2025
Страница №112 из 124:
Увеличить