Официальное опубликование правовых актов
ОФИЦИАЛЬНОЕ ОПУБЛИКОВАНИЕ
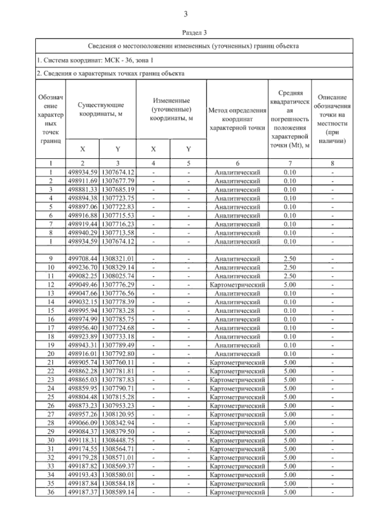
Приказ министерства архитектуры и градостроительства Воронежской области от 03.06.2025 № 45-01-04/278
"О внесении изменений в правила землепользования и застройки Никольского сельского поселения Новоусманского муниципального района Воронежской области"
(Зарегистрирован 10.06.2025 № 651)
Номер опубликования: 3601202506160009
Дата опубликования: 16.06.2025
Страница №10 из 24:
Увеличить