Официальное опубликование правовых актов
ОФИЦИАЛЬНОЕ ОПУБЛИКОВАНИЕ
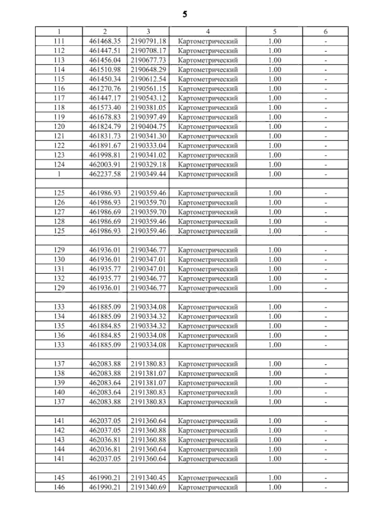
Приказ министерства архитектуры и градостроительства Воронежской области от 22.05.2025 № 45-01-04/271
"О внесении изменений в правила землепользования и застройки Александровского сельского поселения Таловского муниципального района Воронежской области"
(Зарегистрирован 10.06.2025 № 647)
Номер опубликования: 3601202506160001
Дата опубликования: 16.06.2025
Страница №30 из 88:
Увеличить