Официальное опубликование правовых актов
ОФИЦИАЛЬНОЕ ОПУБЛИКОВАНИЕ
Приказ министерства архитектуры и градостроительства Воронежской области от 21.05.2025 № 45-01-04/269
"О внесении изменений в правила землепользования и застройки Хохольского городского поселения Хохольского муниципального района Воронежской области"
(Зарегистрирован 06.06.2025 № 626)
Номер опубликования: 3601202506090002
Дата опубликования: 09.06.2025
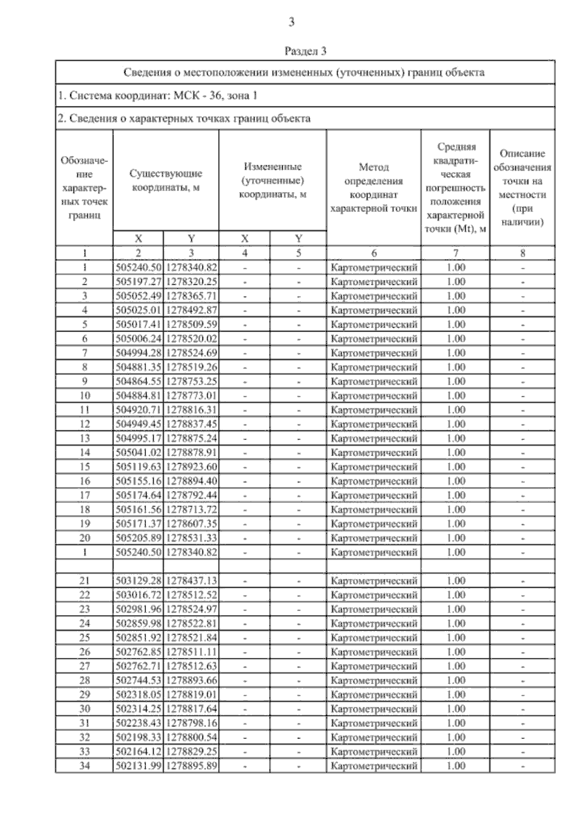
Страница №263 из 277:
Увеличить