Официальное опубликование правовых актов
ОФИЦИАЛЬНОЕ ОПУБЛИКОВАНИЕ
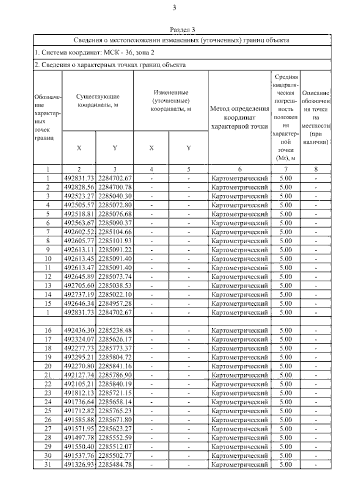
Приказ министерства архитектуры и градостроительства Воронежской области от 19.05.2025 № 45-01-04/268
"О внесении изменений в правила землепользования и застройки Грибановского городского поселения Грибановского муниципального района Воронежской области"
(Зарегистрирован 29.05.2025 № 605)
Номер опубликования: 3601202505300005
Дата опубликования: 30.05.2025
Страница №187 из 266:
Увеличить